Search
2022 Volume 9
Article Contents
RESEARCH ARTICLE   Open Access    

Analyzing TCGA Data to Identify Gene Mutations Linked to Hepatocellular Carcinoma in Asians

More Information
  • Introduction: Liver cancer is the sixth most common and second most fatal type of cancer worldwide. Few treatment options are available as patients with liver cancer are often diagnosed in an advanced stage due to a lack of clinical symptoms. Effectively preventing and treating liver cancer relies heavily on early diagnosis; early diagnosis results from identifying and monitoring high-risk patients. Epigenetic risk factors, such as hepatitis B, hepatitis C, cirrhosis, nonalcoholic fatty liver disease, and alcohol/tobacco abuse, are highly prevalent in Asia and likely cause Asians to have a higher incidence and mortality rate of liver cancer. While these acquired risk factors are relatively well understood, the underlying genetic background of liver cancer in Asians has not been well established or correlated with clinical outcomes.
    Methods: In this study, we accessed The Cancer Genome Atlas (TCGA) hepatocellular carcinoma clinical and mutation data through TCGAbiolinksGUI.
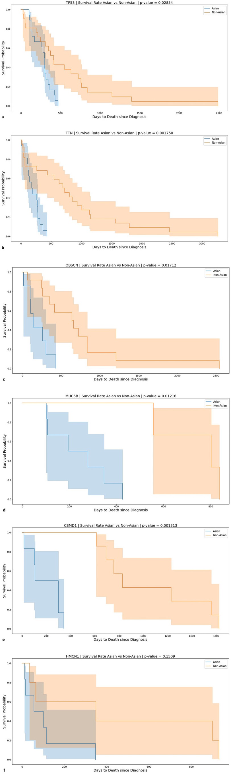
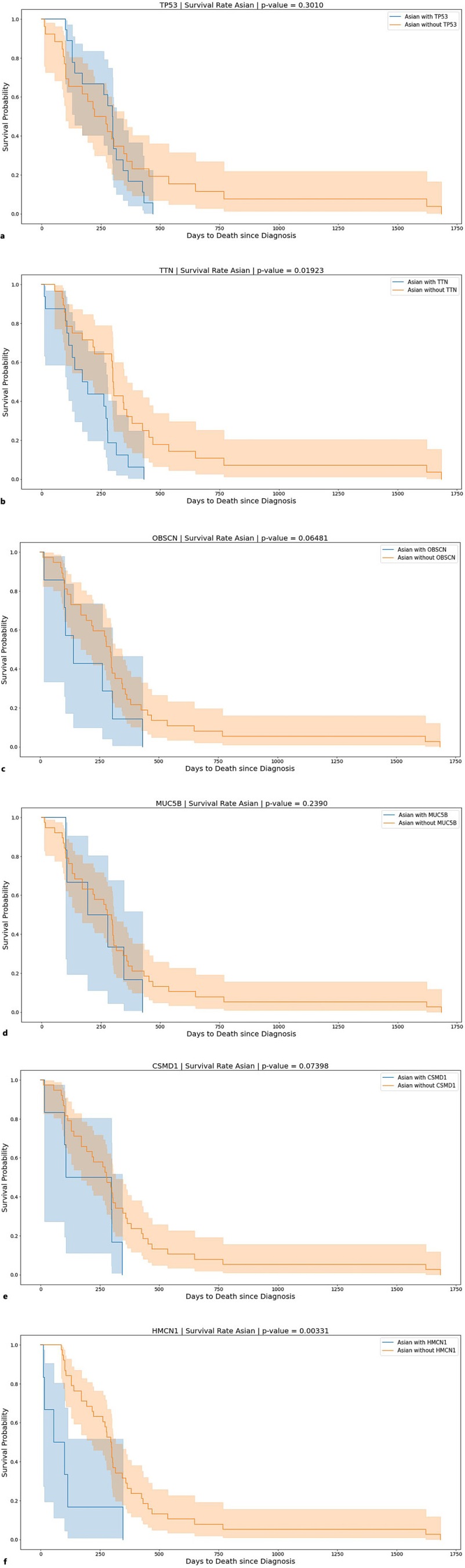
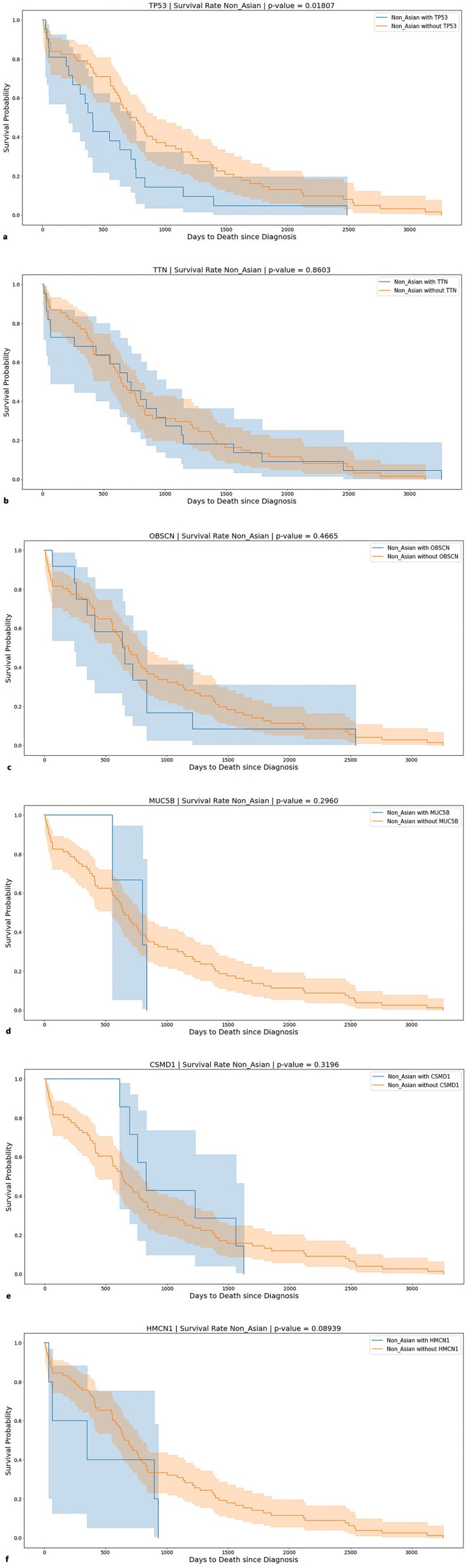
    Results: We found that mutations in five genes (TP53, TTN, OBSCN, MUC5B, CSMD1) were statistically linked with increased mortality in Asians compared to non-Asians, four of which (TTN, OBSCN, MUC5B, CSMD1) were also more prevalent in the Asian population. Within the Asian cohort, two gene mutations (TTN, HMCN1) were statistically linked with worse outcomes. We also found that the TP53 mutation predicts worse outcomes within the non-Asian cohort but not within the Asian cohort
    Discussion/Conclusion: Our findings can improve cancer care in the Asian population through better disease prognostication, evaluations for potential targeted therapy, and a deeper understanding of liver cancer pathogenesis.
  • Cite this article

    Tane Kim, Danny Issa, Mykola Onyshchenko. 2022. Analyzing TCGA Data to Identify Gene Mutations Linked to Hepatocellular Carcinoma in Asians. Gastrointestinal Tumors. 9:524576 doi: 10.1159/000524576
    Tane Kim, Danny Issa, Mykola Onyshchenko. 2022. Analyzing TCGA Data to Identify Gene Mutations Linked to Hepatocellular Carcinoma in Asians. Gastrointestinal Tumors. 9:524576 doi: 10.1159/000524576

Figures(6)  /  Tables(3)

Article Metrics

Article views(1810) PDF downloads(1032)

Other Articles By Authors

Research Article   Open Access    

Analyzing TCGA Data to Identify Gene Mutations Linked to Hepatocellular Carcinoma in Asians

Gastrointestinal Tumors  9 Article number: 10.1159/000524576  (2022)  |  Cite this article

Abstract: 

Introduction: Liver cancer is the sixth most common and second most fatal type of cancer worldwide. Few treatment options are available as patients with liver cancer are often diagnosed in an advanced stage due to a lack of clinical symptoms. Effectively preventing and treating liver cancer relies heavily on early diagnosis; early diagnosis results from identifying and monitoring high-risk patients. Epigenetic risk factors, such as hepatitis B, hepatitis C, cirrhosis, nonalcoholic fatty liver disease, and alcohol/tobacco abuse, are highly prevalent in Asia and likely cause Asians to have a higher incidence and mortality rate of liver cancer. While these acquired risk factors are relatively well understood, the underlying genetic background of liver cancer in Asians has not been well established or correlated with clinical outcomes.
Methods: In this study, we accessed The Cancer Genome Atlas (TCGA) hepatocellular carcinoma clinical and mutation data through TCGAbiolinksGUI.
Results: We found that mutations in five genes (TP53, TTN, OBSCN, MUC5B, CSMD1) were statistically linked with increased mortality in Asians compared to non-Asians, four of which (TTN, OBSCN, MUC5B, CSMD1) were also more prevalent in the Asian population. Within the Asian cohort, two gene mutations (TTN, HMCN1) were statistically linked with worse outcomes. We also found that the TP53 mutation predicts worse outcomes within the non-Asian cohort but not within the Asian cohort
Discussion/Conclusion: Our findings can improve cancer care in the Asian population through better disease prognostication, evaluations for potential targeted therapy, and a deeper understanding of liver cancer pathogenesis.

  • About this article
    Cite this article
    Tane Kim, Danny Issa, Mykola Onyshchenko. 2022. Analyzing TCGA Data to Identify Gene Mutations Linked to Hepatocellular Carcinoma in Asians. Gastrointestinal Tumors. 9:524576 doi: 10.1159/000524576
    Tane Kim, Danny Issa, Mykola Onyshchenko. 2022. Analyzing TCGA Data to Identify Gene Mutations Linked to Hepatocellular Carcinoma in Asians. Gastrointestinal Tumors. 9:524576 doi: 10.1159/000524576

Catalog

    /

    DownLoad:  Full-Size Img  PowerPoint
    Return
    Return