Search
2026 Volume 2
Article Contents
ORIGINAL RESEARCH   Open Access    

The effect of poultry litter biochar generated at different pyrolysis conditions on radish germination and growth

  • Full list of author information is available at the end of the article.

  • Received: 08 January 2026
    Revised: 29 January 2026
    Accepted: 06 February 2026
    Published online: 20 March 2026
    Biochar X  2 Article number: e012 (2026)  |  Cite this article
  • Poultry litter biochar production conditions and application rates strongly regulate soil–plant responses.

    A 2% (w/w) biochar amendment enhanced radish growth without inducing phytotoxic effects.

    Increasing the application rate to 5% elevated soil electrical conductivity and suppressed root and shoot development.

    PLB generated at low temperature (300 °C) promoted greater development of plant leaves and root systems compared to PLB produced at high temperature (500 °C). The incorporation of plant-based bedding materials reduced sodium availability and improved the potassium-to-sodium ratio in soil.

  • Intensive poultry production generates large quantities of poultry litter (PL), creating challenges for nutrient management and environmental protection in poultry-intensive regions such as the Delmarva Peninsula. Pyrolysis of PL into biochar represents a promising strategy for waste valorization and sustainable soil amendment; however, its agronomic performance is strongly influenced by production conditions and application rates. This study systematically evaluated the effects of pyrolysis temperature (300 and 500 °C), bedding material composition (no bedding, 10% pine shavings, and 10% rice hulls), and application rates (2% and 5% w/w), on soil chemical properties, phytotoxicity, and radish (Raphanus sativus) growth under controlled greenhouse conditions using a sandy loam soil sampled from the Delmarva Peninsula. Poultry litter biochar (PLB) produced at 300 °C and applied at 2%, significantly enhanced leaf area, biomass accumulation, root length, and root tip development without inducing phytotoxic effects. In contrast, increasing the application rate to 5%, elevated soil electrical conductivity and caused nutrient imbalance, resulting in suppressed root architecture and reduced plant growth despite increased nutrient availability. The incorporation of bedding materials reduced sodium concentrations and improved the potassium-to-sodium ratio, thereby mitigating salinity-related stress and supporting improved plant performance. The findings indicate that low-temperature PLB, derived from bedding material and applied at ≤ 2%, serves as an agronomically safe and effective soil amendment, offering practical recommendations for enhancing biochar production and land application methods to promote sustainable nutrient recycling and soil health in poultry-dominant agricultural systems.
    Graphical Abstract
  • 加载中
  • [1] Ramsey KW, Tomlinson JL, Mattheus CR. 2022. A radiocarbon chronology of Holocene climate change and sea-level rise at the Delmarva Peninsula, US Mid-Atlantic Coast. The Holocene 32:3−16 doi: 10.1177/09596836211048282

    CrossRef   Google Scholar

    [2] Kurowski KM. 2025. Health and quality-of-life impacts of industrial food animal production among workers and community residents. Thesis. Johns Hopkins University, US. https://jscholarship.library.jhu.edu/handle/1774.2/70521
    [3] Bolan NS, Szogi AA, Chuasavathi T, Seshadri B, Rothrock MJ Jr, et al. 2010. Uses and management of poultry litter. World's Poultry Science Journal 66:673−698 doi: 10.1017/S0043933910000656

    CrossRef   Google Scholar

    [4] Rowland J. 2023. Cleaning up Maryland: utilizing citizen suits to remedy environmental injustice and attain cleaner water, University of Baltimore Law Forum. 53 https://scholarworks.law.ubalt.edu/lf/vol53/iss2/4
    [5] Chan KY, Van Zwieten L, Meszaros I, Downie A, Joseph S. 2008. Using poultry litter biochars as soil amendments. Australian Journal of Soil Research 46:437−444 doi: 10.1071/SR08036

    CrossRef   Google Scholar

    [6] Song Y, Tan J, Jin M, Liu Z, Zhu J, et al. 2025. Effect of pyrolysis temperature and heating rate on the physicochemical properties of alkali lignin-derived biochar: a comparative study of fast and slow pyrolysis. Journal of Analytical and Applied Pyrolysis 191:107236 doi: 10.1016/j.jaap.2025.107236

    CrossRef   Google Scholar

    [7] Tsai CC, Chang YF. 2021. Quality evaluation of poultry litter biochar produced at different pyrolysis temperatures as a sustainable management approach and its impact on soil carbon mineralization. Agronomy 11:1692 doi: 10.3390/agronomy11091692

    CrossRef   Google Scholar

    [8] Kabir E, Kim KH, Kwon EE. 2023. Biochar as a tool for the improvement of soil and environment. Frontiers in Environmental Science 11:1324533 doi: 10.3389/fenvs.2023.1324533

    CrossRef   Google Scholar

    [9] Jeffery S, Verheijen FGA, van der Velde M, Bastos AC. 2011. A quantitative review of the effects of biochar application to soils on crop productivity using meta-analysis. Agriculture, Ecosystems & Environment 144:175−187 doi: 10.1016/j.agee.2011.08.015

    CrossRef   Google Scholar

    [10] Maroccia JF. 2022. Policy actions to improve economic and environmental outcomes of poultry litter management in Delmarva. Thesis. University of Pennsylvania, US. https://repository.upenn.edu/handle/20.500.14332/40218
    [11] Steiner C, Das KC, Melear N, Lakly D. 2010. Reducing nitrogen loss during poultry litter composting using biochar. Journal of Environmental Quality 39:1236−1242 doi: 10.2134/jeq2009.0337

    CrossRef   Google Scholar

    [12] Song W, Guo M. 2012. Quality variations of poultry litter biochar generated at different pyrolysis temperatures. Journal of Analytical and Applied Pyrolysis 94:138−145 doi: 10.1016/j.jaap.2011.11.018

    CrossRef   Google Scholar

    [13] Gaskin JW, Steiner C, Harris K, Das KC, Bibens B. 2008. Effect of low-temperature pyrolysis conditions on biochar for agricultural use. Transactions of the ASABE 51:2061−2069 doi: 10.13031/2013.25409

    CrossRef   Google Scholar

    [14] Yang Y, Qian X, Alamu SO, Brown K, Lee SW, Kang DH. 2024. Qualities and quantities of poultry litter biochar characterization and investigation. Energies 17:2885 doi: 10.3390/en17122885

    CrossRef   Google Scholar

    [15] Lima AV, da Costa DP, Simões LR, de Barros JA, da Silva VP, et al. 2024. Revitalizing fertility of global soils: meta-analysis on benefits of poultry litter biochar on soil health. Revista Brasileira de Engenharia Agrícola e Ambiental 28(12):e278204 doi: 10.1590/1807-1929/agriambi.v28n12e278204

    CrossRef   Google Scholar

    [16] Parente CET, Lino AS, Arruda Junior ER, Zonta E, Dorneles PR, et al. 2018. Multi-temporal accumulation and risk assessment of available heavy metals in poultry litter fertilized soils from Rio de Janeiro upland region. Environmental Monitoring and Assessment 191:28 doi: 10.1007/s10661-018-7156-7

    CrossRef   Google Scholar

    [17] Seneviratne M, Rajakaruna N, Rizwan M, Madawala HMSP, Ok YS, et al. 2019. Heavy metal-induced oxidative stress on seed germination and seedling development: a critical review. Environmental Geochemistry and Health 41:1813−1831 doi: 10.1007/s10653-017-0005-8

    CrossRef   Google Scholar

    [18] Rogovska N, Laird D, Cruse RM, Trabue S, Heaton E. 2012. Germination tests for assessing biochar quality. Journal of Environmental Quality 41:1014−1022 doi: 10.2134/jeq2011.0103

    CrossRef   Google Scholar

    [19] Wong MH, Cheung YH, Cheung CL. 1983. The effects of ammonia and ethylene oxide in animal manure and sewage sludge on the seed germination and root elongation of Brassica parachinensis. Environmental Pollution Series A, Ecological and Biological 30:109−123 doi: 10.1016/0143-1471(83)90008-9

    CrossRef   Google Scholar

    [20] Adriano DC, Chang AC, Pratt PF, Sharpless R. 1973. Effect of soil application of dairy manure on germination and emergence of some selected crops. Journal of Environmental Quality 2:396−399 doi: 10.2134/jeq1973.00472425000200030022x

    CrossRef   Google Scholar

    [21] Diogo BS, Rodrigues S, Antunes SC. 2025. Advancing conventional guidelines in phytotoxicity studies assessing toxicant's impact on seedling morphology and anatomy. Scientific Reports 15:22646 doi: 10.1038/s41598-025-92862-4

    CrossRef   Google Scholar

    [22] Lataf A, Pecqueur I, Huybrechts M, Carleer R, Rineau F, et al. 2024. Co-pyrolysis of chicken manure with tree bark for reduced biochar toxicity and enhanced plant growth in Arabidopsis thaliana. Scientific Reports 14:13956 doi: 10.1038/s41598-024-62468-3

    CrossRef   Google Scholar

    [23] Maryland SSURGO Soils - SSURGO Soils. 2026. Maryland's GIS data catalog. Available online: https://data.imap.maryland.gov/datasets/maryland::maryland-ssurgo-soils-ssurgo-soils/explore?location=38.303240%2C-75.600519%2C15.88 (accessed on 23 January 2026)
    [24] Putra DP, Arta A, Rohmiyati SM, Nugraha NS, Suparyanto T, et al. 2025. The relationship between dark green colour index (DGCI) measured using mobile apps and leaf nitrogen in productive oil palm tree (Elaeis guineensis Jacq.). IOP Conference Series: Earth and Environmental Science 1488:012108. doi: 10.1088/1755-1315/1488/1/012108

    CrossRef   Google Scholar

    [25] Seethepalli A, Dhakal K, Griffiths M, Guo H, Freschet GT, et al. 2021. RhizoVision Explorer: open-source software for root image analysis and measurement standardization. AoB Plants 13:plab056 doi: 10.1093/aobpla/plab056

    CrossRef   Google Scholar

    [26] Yuliyanto Y, Sahibu S, Imran T, Arisha AO, Munawirah M. 2025. Crop recommendation based on soil and weather conditions using the K-nearest neighbors algorithm. Journal of System and Computer Engineering 6:211−219 doi: 10.61628/jsce.v6i3.1955

    CrossRef   Google Scholar

    [27] Gasmi A, Gomez C, Chehbouni A, Dhiba D, El Gharous M. 2022. Using PRISMA hyperspectral satellite imagery and GIS approaches for soil fertility mapping (FertiMap) in northern Morocco. Remote Sensing 14:4080 doi: 10.3390/rs14164080

    CrossRef   Google Scholar

    [28] Murphy LS, Ellis R Jr, Adriano DC. 1981. Phosphorus-micronutrient interaction effects on crop production. Journal of Plant Nutrition 3:593−613 doi: 10.1080/01904168109362863

    CrossRef   Google Scholar

    [29] De Silva PHPR, Aratchige NS, Fernando BHR, Abeysinghe AARW, Dilrukshika DH, et al. 2025. Pests and diseases symptoms versus nutrient deficiencies. In Science-Based Pest Management for a Sustainable and Resilient Coconut Sector, eds Alouw JC, Chinthaka AHN. Cham: Springer. pp. 61−93 doi: 10.1007/978-3-031-84266-5_5
    [30] Das SK, Ghosh GK. 2023. Developing biochar-based slow-release N-P-K fertilizer for controlled nutrient release and its impact on soil health and yield. Biomass Conversion and Biorefinery 13:13051−13063 doi: 10.1007/s13399-021-02069-6

    CrossRef   Google Scholar

    [31] Smith JL, Doran JW. 1997. Measurement and use of pH and electrical conductivity for soil quality analysis. In Methods for Assessing Soil Quality. Volume 49. US: American Society of Agronomy, Crop Science Society of America, and Soil Science Society of America. pp. 169−185 doi: 10.2136/sssaspecpub49.c10
    [32] Maas EV, Hoffman GJ. 1977. Crop salt tolerance—current assessment. Journal of the Irrigation and Drainage Division 103:115−134 doi: 10.1061/JRCEA4.0001137

    CrossRef   Google Scholar

    [33] Ahmad MN, Anuar MI, Aziz NA, Murdi AA. 2025. Function and application of soil electrical conductivity (EC) sensor in agriculture: a review. Advances in Agricultural and Food Research Journal 6:a0000552 doi: 10.36877/aafrj.a0000552

    CrossRef   Google Scholar

    [34] Shirokova Y, Forkutsa I, Sharafutdinova N. 2000. Use of electrical conductivity instead of soluble salts for soil salinity monitoring in Central Asia. Irrigation and Drainage Systems 14:199−206 doi: 10.1023/A:1026560204665

    CrossRef   Google Scholar

    [35] Solaiman ZM, Murphy DV, Abbott LK. 2012. Biochars influence seed germination and early growth of seedlings. Plant and Soil 353:273−287 doi: 10.1007/s11104-011-1031-4

    CrossRef   Google Scholar

    [36] Free HF, McGill CR, Rowarth JS, Hedley MJ. 2010. The effect of biochars on maize (Zea mays) germination. New Zealand Journal of Agricultural Research 53:1−4 doi: 10.1080/00288231003606039

    CrossRef   Google Scholar

    [37] Wakeel A. 2013. Potassium–sodium interactions in soil and plant under saline-sodic conditions. Journal of Plant Nutrition and Soil Science 176:344−354 doi: 10.1002/jpln.201200417

    CrossRef   Google Scholar

    [38] Sudratt N, Faiyue B. 2023. Biochar mitigates combined effects of soil salinity and saltwater intrusion on rice (Oryza sativa L.) by regulating ion uptake. Agronomy 13:815 doi: 10.3390/agronomy13030815

    CrossRef   Google Scholar

    [39] Valdés R, Franco JA, Sánchez-Blanco MJ, Bañón S. 2015. Relationships among electrical conductivity measurements during saline irrigation of potted Osteospermum and their effects on plant growth. The Journal of Horticultural Science and Biotechnology 90:571−577 doi: 10.1080/14620316.2015.11668716

    CrossRef   Google Scholar

    [40] Elia A, Serio F, Parente A, Santamaria P, Rodriguez GR. 2001. Electrical conductivity of nutrient solution, plant growth and fruit quality of soilless grown tomato. Acta Horticulturae 559:503−508 doi: 10.17660/ActaHortic.2001.559.73

    CrossRef   Google Scholar

    [41] Ravina I, Markus Z. 1975. The effect of high exchangeable potassium percentage on soil properties and plant growth. Plant and Soil 42:661−672 doi: 10.1007/BF00009950

    CrossRef   Google Scholar

  • Cite this article

    Yang Y, Uddin MN, Qian X, Alamu SO, Lee SW, et al. 2026. The effect of poultry litter biochar generated at different pyrolysis conditions on radish germination and growth. Biochar X 2: e012 doi: 10.48130/bchax-0026-0009
    Yang Y, Uddin MN, Qian X, Alamu SO, Lee SW, et al. 2026. The effect of poultry litter biochar generated at different pyrolysis conditions on radish germination and growth. Biochar X 2: e012 doi: 10.48130/bchax-0026-0009

Figures(8)  /  Tables(6)

Article Metrics

Article views(1421) PDF downloads(388)

Original Research   Open Access    

The effect of poultry litter biochar generated at different pyrolysis conditions on radish germination and growth

Biochar X  2 Article number: e012  (2026)  |  Cite this article

Abstract: Intensive poultry production generates large quantities of poultry litter (PL), creating challenges for nutrient management and environmental protection in poultry-intensive regions such as the Delmarva Peninsula. Pyrolysis of PL into biochar represents a promising strategy for waste valorization and sustainable soil amendment; however, its agronomic performance is strongly influenced by production conditions and application rates. This study systematically evaluated the effects of pyrolysis temperature (300 and 500 °C), bedding material composition (no bedding, 10% pine shavings, and 10% rice hulls), and application rates (2% and 5% w/w), on soil chemical properties, phytotoxicity, and radish (Raphanus sativus) growth under controlled greenhouse conditions using a sandy loam soil sampled from the Delmarva Peninsula. Poultry litter biochar (PLB) produced at 300 °C and applied at 2%, significantly enhanced leaf area, biomass accumulation, root length, and root tip development without inducing phytotoxic effects. In contrast, increasing the application rate to 5%, elevated soil electrical conductivity and caused nutrient imbalance, resulting in suppressed root architecture and reduced plant growth despite increased nutrient availability. The incorporation of bedding materials reduced sodium concentrations and improved the potassium-to-sodium ratio, thereby mitigating salinity-related stress and supporting improved plant performance. The findings indicate that low-temperature PLB, derived from bedding material and applied at ≤ 2%, serves as an agronomically safe and effective soil amendment, offering practical recommendations for enhancing biochar production and land application methods to promote sustainable nutrient recycling and soil health in poultry-dominant agricultural systems.

    • Global agricultural systems are under mounting strain to maintain soil fertility, manage organic waste effectively, and improve crop production amid climate variability and heavy land usage. Poultry litter (PL), a diverse amalgamation of feces, bedding materials, feathers, and undigested feed constitutes both a valuable nutrient reservoir and a considerable environmental concern. The Delmarva Peninsula, situated on the Mid-Atlantic coast of North America between 37° and 40° latitude[1], hosts a substantial poultry industry. The poultry industry on the Delmarva Peninsula is a substantial and economically essential sector. In 2024, poultry operations in the region raised roughly 613 million birds, resulting in nearly 2 million tons of chicken and generating US${\$} $4.8 billion in revenue sales[2]. On a dry weight basis, poultry litter production ranges from 0.7 to 2.0 tons/1,000 broilers/flock. The yearly output of PL on the Delmarva Peninsula is projected to be 0.42–1.23 million tons[3], highlighting the critical necessity for sustainable litter management measures.

      Historically, PL has been piled up and applied to land as fertilizer to fulfill crop nitrogen demands; however, this method often causes excessive phosphorus accumulation, resulting in nutrient buildup in soils and subsequent runoff into adjacent water bodies, such as Chesapeake Bay and Delaware Bay. Regulatory evaluations have disclosed extensive noncompliance, with 84% of Maryland poultry farms assessed from 2017 to 2020, demonstrating at least one infraction of state water pollution control permits[4]. The Maryland Nutrient Management Program (MNMP) and the Phosphorus Management Tool (PMT) were established to limit PL application on soils with phosphorus fertility index values beyond 150. Although these procedures are crucial for safeguarding water quality; they have created logistical and economical challenges for poultry producers, prompting the exploration of alternate PL management strategies that adhere to nutrient recycling and circular economy concepts.

      The pyrolysis-based transformation of PL into poultry litter biochar (PLB) has surfaced as an effective method for waste valorization and sustainable soil enhancement. Biochar is a carbon-dense substance generated via the thermal degradation of biomass in oxygen-restricted environments, with its physicochemical qualities significantly influenced by the characteristics of the feedstock and the conditions of pyrolysis[5]. In contrast to plant-derived biochars, PLB generally has increased ash content, alkaline pH, and higher levels of calcium, magnesium, potassium, and phosphorus, attributes that improve its efficacy for soil conditioning, nutrient retention, and acidity buffering[6,7]. Besides agronomic advantages, biochar aids in long-term carbon sequestration and diminishes nutrient losses from agricultural systems[8]. A meta-analysis by Jeffery et al. revealed that PLB, among diverse biochar feedstocks, exerted the most significant positive impact on crop productivity, yielding an average increase of 28%, primarily due to liming effects, enhanced soil water retention, and improved nutrient availability[9].

      In addition to agronomic performance, the on-site production of PLB provides poultry producers with supplementary advantages, such as decreased litter disposal expenses, reduction of nutrient runoff, and the potential use of surplus heat produced during pyrolysis for heating chicken houses[10,11]. However, the efficacy of PLB as a soil amendment is inconsistent and is heavily influenced by pyrolysis conditions, especially temperature, and the nature of the feedstock. Reduced pyrolysis temperatures (e.g., 300 °C) have been shown to promote nitrogen retention N[12], whereas elevated temperatures (e.g., 500 °C) increase biochar surface area, pore volume, and the availability of mineral nutrients[13]. Increasing pyrolysis temperature from 300 to 500 °C has been demonstrated to enhance pore area by approximately 230% and pore volume by over 200%[14], attributes that directly impact soil water retention, nutrient availability, and microbial activity, ultimately influencing plant growth and soil health.

      The mix of feedstock additionally affects PLB quality and agronomic performance. The incorporation of bedding materials like pine shavings or rice hulls can alter nutrient speciation, diminish extractable phosphorus and sulfur levels[14], and affect biochar alkalinity. These modifications may significantly affect fertilizer efficacy and soil salinity control. However, thorough evaluations of the impacts of combined alterations in feedstock composition, pyrolysis temperature, and application rate on the physicochemical characteristics of PLB and ensuing soil–plant interactions are limited, particularly under controlled greenhouse conditions where mechanistic responses can be distinctly isolated and observed[15].

      Notwithstanding the established advantages of manure-derived biochars, apprehensions remain concerning phytotoxicity linked to increased salinity, heavy metals, and organic pollutants. PL may include significant levels of potentially hazardous minerals, such as manganese, zinc, and copper, which can disrupt plant biochemical processes and impede seed germination and early seedling growth[16,17]. Furthermore, polycyclic aromatic hydrocarbons, ammonia, and soluble salts have been recognized as factors that inhibit plant growth in biochar-amended soils[1820]. Typical indications of phytotoxicity encompass chlorosis, necrosis, stunted growth, wilting, and impaired root development[21]. Prior research indicates that the co-pyrolysis of PL with lignocellulosic substances, such as tree bark, can significantly diminish salinity and concentrations of potentially harmful elements while promoting plant development[22], implying that the incorporation of bedding materials may alleviate negative impacts.

      Short-cycle crops like radish (Raphanus sativus) are highly responsive to soil physical and chemical conditions, making them a suitable indicator species for evaluating biochar–soil–plant interactions. Despite their sensitivity, comprehensive assessments of the combined effects of poultry-litter biochar (PLB) produced under different pyrolysis temperatures and bedding material compositions on soil properties, phytotoxicity, and plant development remain limited. In this study, six PLBs were produced at two pyrolysis temperatures (300 and 500 °C) using three bedding material compositions (no bedding, 10% pine shavings, and 10% rice hulls, w/w) and applied at two rates (2% and 5%, w/w) to a sandy loam soil under controlled greenhouse conditions. Radish (Raphanus sativus) was employed as an indicator crop to evaluate seed germination, vegetative growth, root development, and phytotoxicity responses. It is hypothesized here that: (1) low-temperature PLB produced at 300 °C enhances plant growth by improving nutrient retention and maintaining lower alkalinity relative to high-temperature biochar; (2) incorporation of bedding materials mitigates salinity-induced phytotoxicity by reducing sodium availability and improving the potassium-to-sodium (K : Na) balance in amended soils; and (3) PLB application rates exceeding 2% (w/w) negatively affect plant performance due to elevated electrical conductivity, osmotic stress, and ion antagonism. The outcomes of this study are intended to provide mechanistic and practical guidance for optimizing PLB production and land-application strategies to support sustainable nutrient recycling, effective waste management, and climate-resilient agricultural practices in poultry-intensive regions.

    • Soil samples were obtained at Bethel Farm (4013 St. Lukes Rd, Salisbury, MD, USA), a poultry farm situated on the Delmarva Peninsula (38°18'14.4" N, 75°36'6.4" W), as illustrated in Fig. 1. Sampling was conducted at a depth of 10–30 cm from a region adjacent to poultry rearing facilities. The Maryland Soil Survey Geographic Database (SSURGO) classifies the soil as 'Keyport fine sandy loam', characterizing it as moderately well-drained agricultural land. The soil comprises roughly 55% sand, 32% silt, and 13% clay[23]. The sampling site has been fallowed for some years, lacking any recent fertilizer application.

      Figure 1. 

      Location of (a) poultry litter, and (b) soil sampling site on the Delmarva Peninsula, Maryland. Source from ArcGIS Map Viewer www.arcgis.com/apps/mapviewer/index.html

      The collected soil was transferred to the laboratory, air-dried at ambient temperature (23 °C), and sieved through a 6.35 mm (¼ inch) mesh to eliminate any debris before further examination. The treated soil was stored in airtight containers until required. PL samples were obtained from a sheltered storage facility at Sun Farm (14470 Backbone Rd, Eden, MD, USA; 38°16'37.6" N, 75°36'55.6" W) located in the same region. The gathered poultry litter comprised broiler excrement, leftover feed, feathers, and a very small proportion of bedding material. Pine shavings and rice hulls utilized as bedding supplements were procured from local vendors. To replicate authentic feedstock variability, 10% (w/w) pine shavings or rice hulls were incorporated with raw PL before pyrolysis.

    • Six PLBs were produced through the combination of two pyrolysis temperatures (300 and 500 °C) and three bedding material compositions (absence of bedding, 10% pine shavings, and 10% rice hulls), as detailed in Table 1. Pyrolysis was performed utilizing a benchtop high-temperature electric burnout oven (Tabletop Furnace Company, Tacoma, WA, USA), as depicted in Fig. 2. Approximately 300 g of prepared PL feedstock was loosely packed into stainless steel pyrolysis canisters (119.4 mm in diameter × 114.3 mm in height) equipped with a 4.76 mm vent hole to facilitate gas discharge while preserving oxygen-limited conditions. Feedstock was pre-dried at 105 °C for 4 to 8 h to eliminate residual moisture before pyrolysis. The oven was heated to the desired temperature (300 or 500 °C), following which the canisters were inserted and held at that temperature until observable volatile emissions stopped. Following completion, canisters were allowed to cool to ambient temperature prior to the recovery of biochar. Produced PLBs were encapsulated in plastic bags and maintained at ambient temperature (23 °C) until subsequent characterization and soil amendment tests.

      Table 1.  Production conditions of poultry litter biochars prepared under varying pyrolysis temperatures and bedding material compositions

      Serial No. Reaction temperature Bedding marterial
      PLB 1 300 °C 10 % Pine shavings
      PLB 2 500 °C 10 % Pine shavings
      PLB 3 300 °C 10% Rice hulls
      PLB 4 500 °C 10% Rice hulls
      PLB 5 300 °C No bedding
      PLB 6 500 °C No bedding

      Figure 2. 

      Benchtop pyrolysis system used for poultry litter biochar production under controlled temperatures.

    • Proximate and ultimate analyses of raw PL, bedding materials (pine shavings and rice hulls), and representative PLB samples were conducted on a dry basis by Mineral Labs, Inc. (Salyersville, KY, USA) to determine volatile matter, fixed carbon, ash content, elemental composition (C, H, N, O, and S), and high heating value. The results of these analyses are presented in Table 2. The feedstock PL and final PLB exhibit significantly elevated levels of nitrogen and sulfur, as well as increased ash content, in comparison with the two bedding materials; hence, PLB should serve as a beneficial supply of soil nutrients. Soil and biochar pH and extractable nutrient concentrations, including nitrogen (N), phosphorus (P), potassium (K), sulfur (S), calcium (Ca), magnesium (Mg), sodium (Na), iron (Fe), manganese (Mn), zinc (Zn), copper (Cu), and boron (B), were measured by Predictive Nutrient Solutions, Inc. (Walla Walla, WA, USA), with results summarized in Table 3[14]. The potentially hazardous minerals Mn, and Zn, were found to be low in PLBS, whereas Cu was within an acceptable range as a soil additive. From the table, it can be observed that the concentrations of soluble salts of Na and K are very high, which may potentially inhibit plant growth in PLB-amended soils. Soil physical properties were evaluated for pure soil and soil amended with 5% (w/w) PLB. Bulk density, porosity, saturated moisture content, and gravimetric water-holding capacity (WHC) were determined using packed PVC column tests, with results summarized in Table 4. These measurements were used to assess changes in soil structure and water retention associated with PLB amendment. With the addition of PLB, the bulk density of soil was reduced by 1.24%, and the porosity, gravimetric moisture saturated, and gravimetric water holding capacity (WHC) were increased by 2.37%, 3.64%, and 6.2%, respectively, compared to the control group. Water holding capacity can impact plant growth by determining how much water a soil can retain, directly influencing the amount of available water for roots to absorb, thus affecting overall plant health and growth.

      Table 2.  Proximate and ultimate analyses of poultry litter feedstock, bedding materials, and derived biochars[14]

      PL RH1 PS2 PLB
      Ultimate analysis
      (Dry-based, wt.%)
      C 27.86 32.20 43.42 34.48
      H 6.28 6.41 8.39 1.77
      O 33.49 38.87 < 25.54 4.99
      N 4.02 0.34 < 0.2 4.28
      S 1.72 0.06 0.06 2.06
      Proximate analysis
      (Dry-based, wt.%)
      VM3 65.31 62.40 69.6 23.36
      FC4 8.06 15.48 8.01 24.23
      A5 26.63 22.12 22.39 52.42
      HHV6 13,782 15,521 19,745 14,596
      1 Rice hulls. 2 Pine shavings. 3 Volatile matter. 4 Fixed carbon. 5 Ash content. 6 High heat value (kJ/kg).

      Table 3.  Soil and poultry litter biochar chemical properties compared with agronomic reference ranges[14]

      Test item Soil PL PLB 1 PLB 2 PLB 3 PLB 4 PLB 5 PLB 6 Optimal range
      pH 6.84 6.7 8.04 9.13 8.03 9.26 7.88 9.11 5.8–7.0
      Total nitrogen (N) 9.14 69.13 1.61 1.61 1.61 1.61 3.97 13.79 32.0–60.0
      Phosphorus (P) 137.32 55.74 8.47 4.9 10.39 5.35 19.95 25.87 8.0–20.0
      Potassium (K) 19.32 1,260.61 1,021.24 1,329.36 996.6 922.46 1,610.11 1,715.16 38.0–80.0
      Sulfur (S) 8.37 577.86 302.09 308.07 303.51 257.38 499.23 571.96 7.0–22.0
      Calcium (Ca) 676.3 100.64 17.34 12.43 15.51 13.95 22.04 46.38 80.0–320.0
      Magnesium (Mg) 42.25 122.01 43.25 23.64 49.54 15.39 63.6 48 27.0–70.0
      Sodium (Na) 6.78 446.81 244.42 260.96 256.18 169.49 569.4 499.39 0.5–30.0
      Iron (Fe) 20.6 0.75 0.22 0.12 0.42 0.07 0.91 0.46 3.0–10.0
      Manganese (Mn) 8.15 2.92 0.19 0.2 0.21 0.24 0.46 1.04 4.0–10.0
      Zinc (Zn) 1.71 0.59 0.04 0.02 0.06 0.03 0.13 0.12 0.1–0.25
      Copper (Cu) 0.53 2.01 0.66 0.21 0.81 0.21 2.15 0.63 0.06–0.3
      Boron (B) 0.05 0.29 0.08 0.11 0.12 0.05 0.13 0.18 0.2–0.6
      K: Na 2.8:1 2.8:1 4.2:1 5.1:1 3.9:1 5.4:1 2.8:1 3.4:1
      Results are provided in parts per million (ppm) except for the pH and K : Na ratio. The 'optimal range' list in the table is advised by the tester.

      Table 4.  Effects of poultry litter biochar amendment on soil physical properties and water retention

      Soil unit Bulk density
      (g/cm3)
      Porosity
      (%)
      Gravimetric
      moisture for
      saturated soil (%)
      Gravimetric WHC (%)
      Soil + 5% PLB1 1.239 46.4 37.4 36.5
      Soil + 5% PLB2 1.224 43.9 35.8 34.5
      Soil + 5% PLB3 1.177 41.9 35.6 34.3
      Soil + 5% PLB4 1.205 44.2 36.7 36.0
      Soil + 5% PLB5 1.221 45.2 37.0 35.7
      Soil + 5% PLB6 1.197 45.2 37.7 36.7
      Average 1.211 44.454 36.712 35.601
      Pure soil 1.226 43.4 35.4 33.5
      Increment (%) −1.24 2.37 3.64 6.20
    • The impact of pyrolysis temperature, bedding material composition, and PLB application rate on phytotoxicity and plant growth was assessed using seed germination and greenhouse pot studies. As shown in Fig. 3, a fully factorial experimental design was employed to evaluate the effects of poultry litter biochar pyrolysis temperature, bedding material composition, and application rate, on radish germination and growth. The experimental design comprised 12 treatment combinations (two pyrolysis temperatures × three bedding materials × two application rates) together with one unamended soil control, as detailed in Table 5. Seed germination studies were performed utilizing improved soils instead of soil-less assays to consider soil–biochar interactions. For each treatment, 1 kg of prepared soil was allocated to plastic trays (225 mm × 154 mm × 52 mm), and 30 radish (Raphanus sativus var. Long Scarlet) seeds were sown at a depth of 10 mm. Soil moisture was sustained at roughly 25%–30% of water-holding capacity, and the trays were incubated at 23 °C. Germination was documented over a 7-d interval. Each pot testing sample had five replicates. Black plastic pots (7 cm in diameter × 20 cm in height) were filled with 1 kg of soil, comprising a 300 g base layer of unamended soil and a 700 g layer of PLB-amended soil. Three radish seeds were sown in each pot and subsequently trimmed to a single seedling post-emergence. Pots were irrigated daily to sustain 70%–80% field capacity and were frequently relocated to reduce positional bias. Plants were harvested after six weeks for the evaluation of growth.

      Figure 3. 

      Schematic of experimental design for seed germination and greenhouse pot testing of PLB treatments.

      Table 5.  Factorial experimental design for seed germination and greenhouse pot trials

      Series No. Pyrolysis
      temperature (°C)
      Bedding
      material
      Land application
      ratio by weight (%)
      1 300 Pine shavings 2
      2 500 Pine shavings 2
      3 300 Rice hulls 2
      4 500 Rice hulls 2
      5 300 Pine shavings 5
      6 500 Pine shavings 5
      7 300 Rice hulls 5
      8 500 Rice hulls 5
      9 300 No bedding 2
      10 500 No bedding 2
      11 300 No bedding 5
      12 500 No bedding 5
    • During the harvest, radish plants were meticulously extracted from pots and rinsed with deionized water. Leaf area, leaf biomass weight, and chlorophyll-related indices were measured to evaluate above-ground growth responses. The Petiole mobile application was utilized to ascertain leaf area and Dark Green Color Index (DGCI), offering non-destructive estimates of chlorophyll content that coincide with SPAD values[24]. Root systems were examined utilizing a flatbed scanning apparatus (Epson Perfection V850 Pro Photo Scanner, 6,400 dpi) in conjunction with transparent acrylic trays. Root photos were analyzed with RhizoVision Explorer software to measure total root length and the number of root tips[25]. The soil pH, electrical conductivity (EC), and NPK levels of the prepared soils were assessed prior to planting with a portable soil tester to delineate the initial growth conditions. These measurements were utilized to substantiate the interpretation of plant response data reported in the Results and Discussion sections.

    • All soil preparation and greenhouse pot experiments were conducted using a completely randomized design, with five independent biological replicates per experimental condition. Each greenhouse replicate consisted of one pot containing a single radish plant following thinning. Quantitative data was reported as mean values unless otherwise stated. The effects of pyrolysis temperature, bedding material composition, and poultry litter biochar application rate, along with their interaction effects, were evaluated using multi-factor analysis of variance (ANOVA). When significant main or interaction effects were detected, post-hoc tests were performed. Statistical significance was evaluated at α = 0.05, with effects at p < 0.05 considered statistically significant and effects with 0.05 ≤ p < 0.10 classified as marginally significant and interpreted as indicative trends, and exact p-values are reported in the text or figure captions where relevant to ensure transparent interpretation of results.

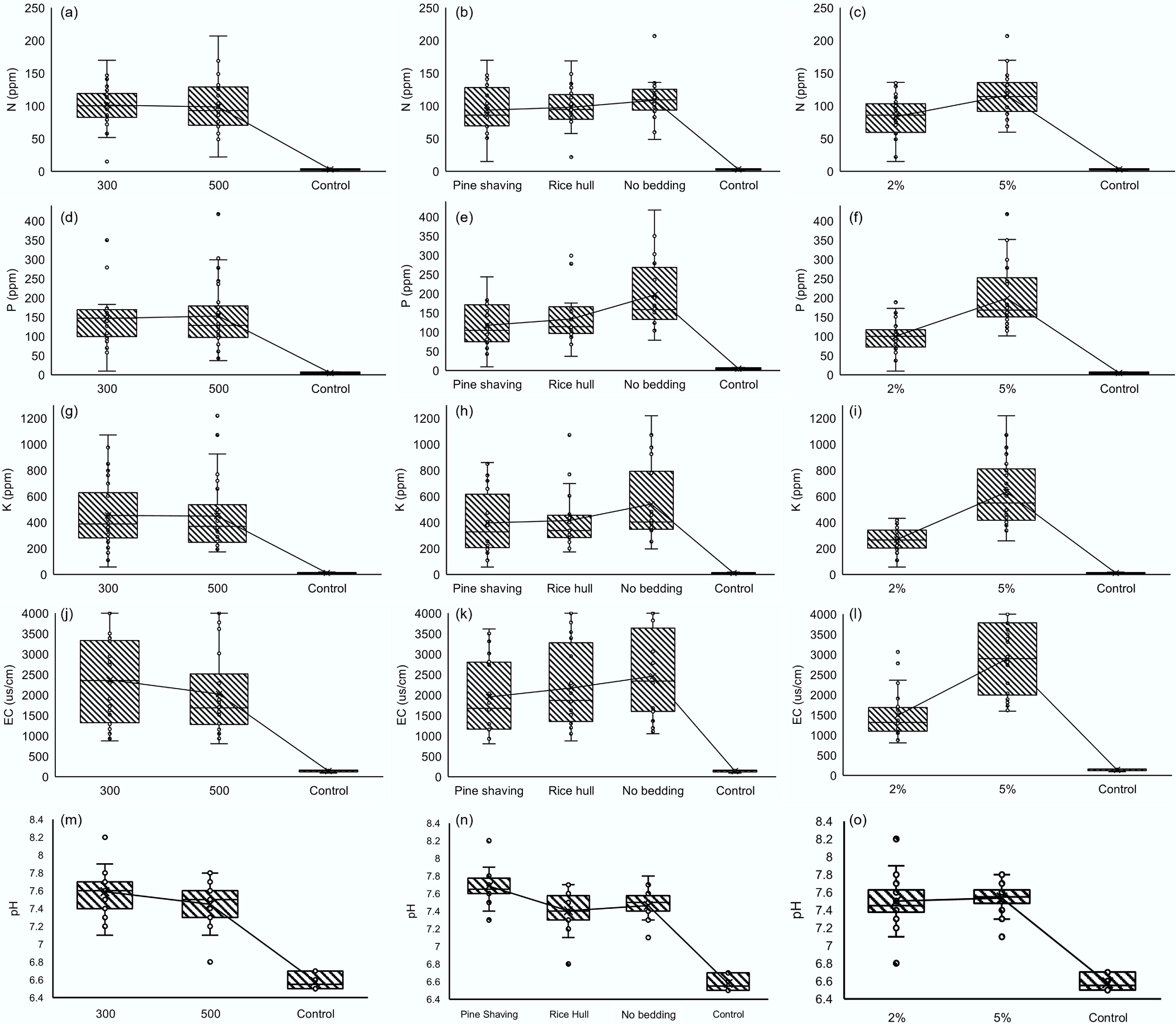
    • The application of poultry litter biochar (PLB) significantly altered soil chemical properties, including nutrient availability, electrical conductivity (EC), and pH, relative to the unamended control soil (Fig. 4).

      Figure 4. 

      Effects of poultry litter biochar application rate, pyrolysis temperature, and bedding material type on (a)–(i) soil NPK concentrations, (j)–(l) electrical conductivity (EC), and (m)–(o) pH.

      Water extractable soil nitrogen (N), phosphorus (P), and potassium (K) concentrations significantly increased with PLB application rate (Fig. 4c, f, i): N concentration was 83.6 ppm at a 2% application ratio compared to 116.4 ppm at a 5% application ratio (p = 0.00008). The P level increased (p < 0.001) with the augmentation of biochar application ratio, from 100.63 to 198.93 ppm. The K level markedly (p < 0.001) escalated with the increase in biochar application ratio (268.7 to 633.1 ppm). In contrast, the effects of pyrolysis temperature were not statistically significant (p > 0.10). The test groups without bedding material exhibited significantly higher values than categories with two bedding materials: N (108.6 vs 95.7 ppm, p = 0.09); P (197 vs 126.175 ppm, p = 0.002); K (540.2 vs 406.25 ppm, p = 0.05).

      This response reflects the inherently high mineral nutrient content of PLBs, which are known to supply substantial amounts of nutrition to soils[5]. Increasing the PLB application rate from 2% to 5% resulted in nutrient concentrations exceeding agronomic optimal ranges: N (25–125 ppm)[26], P (36–60 ppm), K (123–140 ppm)[27], particularly for P and K. Thus, the potential for nutrient imbalance and antagonistic interactions increased. Excessive P availability can suppress micronutrient uptake such as Ca, Mg, Fe, Cu, and Zn. P toxicity may occur. Symptoms encompass interveinal chlorosis of leaves, necrotic leaf tips, slender blades on new foliage, curling of lower leaves, and spotting on lower leaves, among others[28]. Excess K will ultimately result in significant indirect consequences on overall plant nutrition. It will impair total plant nutrition by inhibiting the absorption of other mineral elements, especially Mg, Fe, Zn, and Ca. This effect is called ion antagonism or cation competition, wherein the presence of one element restricts the absorption of others. Symptoms of K toxicity include yellowing of leaf tissues between the veins, and the appearance of brownish patches[29].

      It was observed that the addition of plant-based bedding material reduced soil extractable NPK levels (Fig. 4b, e, h). This result corresponds to the data from our previous study, as shown in Table 3: the four PLBs with bedding material had lower K levels compared with the no bedding material PLBs. The former was 1,067 ppm, the latter was 1,663 ppm. The potential explanations include that PL frequently possesses far greater initial K concentration compared with plant feedstock. Furthermore, K in PLB is also more water-soluble. So, with the addition of plant-based bedding material, the K concentration will be reduced; the highly porous microstructure of the plant-based biochar allowed it to efficiently absorb NO3, NH4+, PO43−, and K2O and form a nutrient-impregnated slow-release fertilizer[30]. The lower nutrient release pattern from introducing bedding material encouraged plant growth by providing a steady, controlled supply of nutrients. This differs from rapid-acting formulations, which may induce abrupt nutritional spikes.

      Soil EC increased with PLB application rate (Fig. 4l) and was statistically significant (p < 0.001), while the effects of pyrolysis temperature and bedding material composition on EC (Fig. 4j, k) were not statistically significant (p > 0.10). This result was in agreement with the observed soil NPK value since EC is positively correlated with NPK levels. The higher the concentration of NPK nutrients, the higher the soil EC. EC indicates good nutrient availability for plants[31]. It is an indirect indicator of nutrient availability and salinity levels in soil. Maintaining a balanced EC level is essential. For radish, 1,200 µS/cm is suggested as the salt tolerance level[32]. The ideal EC for plant growth is generally between 800 and 1,800 µS/cm. This range ensures adequate nutrient availability for healthy plant growth without the risk of salt stress or toxicity[33]. Soil salinity levels are often categorized into non-saline EC less than 2,000 µS/cm, slightly saline EC between 2,000−4,000 µS/cm, and saline above 4,000 µS/cm[34]. According to our test, the EC level was 1,494 µS/cm (95% CI [1,281, 1,707]) with the PLB addition ratio of 2%; it increased to 2,898 µS/cm (95% CI [2,570, 3,227]) at the addition rate of 5%. At the 2% application rate, EC values remained within the non-saline range suitable for radish growth, whereas the 5% application rate elevated EC into the slightly saline range, a condition known to restrict water uptake and induce osmotic stress in salt-sensitive crops.

      Soil pH increased modestly following PLB amendment (6.58 vs 7.52); however, differences among pyrolysis temperature, bedding material composition, and application rate were found to be not statistically significant (p > 0.10). The biochar amended soil ranged from slightly alkaline to moderately alkaline; soil pH affects the availability of nutrients and chemicals in the soil (Fig. 4mo). Essential nutrients N, P, K, S, Ca, and Mg are optimally accessible at a pH range of 6.0 to 7.5. Alkaline conditions will diminish the accessibility of most micronutrients: Fe, Mn, Zn, and Cu. Most plants do best in soil with a pH between 6.2 and 6.8. High pH values may affect plant development.

      These results indicate that PLB application rate is the dominant factor governing soil chemical responses. When the application ratio reaches 5%, the soil shows slight salinity, which may decrease yield. The next most influential factor is the composition of feedstock. With the addition of bedding material, the final soil NPK level (significantly) and EC level (non-significantly), can be reduced. The pyrolysis temperature exerts comparatively minor effects on soil chemistry. The high pH level of PLB-amended soil may restrict the availability of micronutrients.

    • Radish seed germination rates were consistently high across all PLB-amended treatments, ranging from 0.93 to 1.00, and exceeded that of the unamended control soil (0.8) (Table 6). Differences in germination rate among pyrolysis temperatures, bedding material compositions, and application rates were not statistically significant (p > 0.10). Despite the elevated EC and slightly alkaline soil conditions observed at higher application rates, germination performance remained unaffected by PLB treatments. These findings are consistent with previous studies reporting that moderate biochar amendments generally do not inhibit seed germination and may enhance early establishment by improving soil moisture retention and nutrient availability[35,36]. The absence of germination inhibition further suggests that potentially toxic constituents associated with PLBs, such as ammonia, soluble salts, or polycyclic aromatic hydrocarbons, were either absent or present at concentrations below inhibitory thresholds[1820]. The results indicate that the use of PLB within the examined range did not induce acute phytotoxic effects during early plant establishment and posed a negligible risk to radish seed germination.

      Table 6.  Seed germination response of radish to poultry litter biochar amendments

      Soil sample S/N 1 2 3 4 5 6 7 8 9 10 11 12 13
      Germination rate 0.97 1 0.97 1 0.97 1 1 1 0.93 0.97 1 1 0.8
    • Poultry litter biochar amendment significantly influenced radish leaf development, with pyrolysis temperature and application rate exerting strong control on vegetative growth responses (Fig. 5). Biochar produced at 300 °C resulted in greater leaf area and leaf biomass than biochar produced at 500 °C (Fig. 5a, d), and these differences were statistically significant (p = 0.02 for leaf area; p = 0.03 for leaf biomass). This response is consistent with previous findings that low-temperature PLBs retain more labile nutrients and oxygen-containing functional groups, thereby enhancing nutrient availability and cation exchange capacity[5,12]. Cation exchange capacity (CEC) can boost plant growth by acting as a nutrient store and chemical buffer. Bedding material composition showed a marginal effect on leaf growth (Fig. 5b, e), exhibiting a marginal interaction effect (0.08 < p < 0.1), suggesting that the inclusion of lignocellulosic materials moderately enhanced aboveground biomass production. Application rate strongly regulated leaf development (Fig. 5c, f) and was statistically significant (p < 0.005), with the 2% PLB application rate producing greater leaf area and biomass than both the control and the 5% application rate. In contrast, increasing the application rate to 5% resulted in reduced leaf area and biomass that was statistically significant (p < 0.05), despite increased nutrient availability. Dark Green Color Index (DGCI) values increased with application rate (Fig. 5i), and were statistically significant (p < 0.005), particularly for PLB treatments without bedding material (Fig. 5h), reflecting enhanced leaf N status. However, this increase in chlorophyll-related indices did not translate into proportional biomass gains, suggesting that salinity stress and nutrient antagonism constrained effective nutrient utilization at higher application rates. The inclusion of bedding materials improved leaf growth relative to PLB without bedding, likely due to the adsorption effect of the added plant-based bedding material biochar. As observed in Fig. 4, the introduction of bedding material could promote plant growth by facilitating a consistent and regulated release of nutrients[30]. Sudden nutritional surges would be diminished. A further potential explanation is reduced Na concentrations and improved K : Na ratios, which are known to enhance plant tolerance to saline conditions. High Na concentrations will negatively affect plant growth[37]. As shown in Table 3, the four PLBs with bedding material had lower Na levels compared with the no bedding material PLBs. The average concentration of the former was 233 ppm, the latter was 534 ppm. This finding is consistent with a study by Sudratt et al., which found that adding rice husk biochar could help remove Na+ from the saline soil, and lowering the amount of Na+ that plants take up[38]. The K : Na ratio indicates resilience to salt stress. A higher ratio is advantageous to prevent sodium from replacing vital K in plant uptake. Due to the reduced Na concentration, the K : Na ratio of the four PLBs with bedding material was observed to be higher than that of the two no bedding material PLBs (4.7 vs 3.1, as shown in Table 3). A high K : Na ratio will enhance water absorption, enzymatic activity, and general plant vitality.

      Figure 5. 

      Effects of poultry litter biochar pyrolysis temperature, bedding material, and application rate on (a)–(c) radish leaf area, (d)–(f) leaf biomass, and (g)–(i) Dark Green Color Index (DGCI).

    • Root biomass (the mass of the edible portions of a radish), total root length, and root tip number were strongly influenced by PLB application rates and its interaction with pyrolysis temperature (Figs 7, 8). Application rates exerted a statistically significant effect on all measured root traits (Fig. 7c, f, i), including root biomass (p < 0.005), total root length (p < 0.0001), and root tip number (p < 0.005), whereas pyrolysis temperature alone (Fig. 7a, d, g) was not statistically significant (p > 0.10). The interaction between application rate and pyrolysis temperature showed a marginal interaction effect for total root length (p = 0.09), and root tip number (p = 0.06), indicating that biochar production conditions can modulate root responses under specific amendment regimes. The 2% PLB application rate resulted in significantly greater root elongation and branching compared to both the unamended control and the 5% application rate (p < 0.01), reflecting favorable soil chemical and physical conditions, including balanced nutrient availability and improved water-holding capacity[12]. In contrast, increasing the PLB application rate to 5% caused statistically significant reductions in root biomass and root architectural metrics, including total root length and root tip number (p < 0.05), consistent with elevated soil electrical conductivity and excessive K availability. At the 5% PLB application rate, elevated soil electrical conductivity likely imposed osmotic stress that restricted root water uptake, while excessive K availability induced cation antagonism, limiting Ca and Mg uptake essential for root growth and membrane stability. This chemical imbalance is manifested as suppressed root system architecture—evidenced by reduced total root length and root tip number (Fig. 7c, f, i)—which constrained nutrient uptake efficiency despite increased soil nutrient availability, ultimately leading to diminished plant biomass[3941].

      Figure 6. 

      (a)–(c) Optimization plots derived from multi-factor regression analysis showing conditions for maximum radish leaf growth and DGCI.

      Figure 7. 

      Effects of poultry litter biochar application rate and pyrolysis temperature on (a)–(c) radish root biomass, (d)–(f) total root length, and (g)–(i) root tip number.

      Figure 8. 

      (a)–(c) Root architecture responses of radish plants to poultry litter biochar amendment under different pyrolysis temperatures and application rates.

    • This study demonstrates that poultry litter biochar (PLB) can function as an effective soil amendment when both production conditions and application rates are carefully optimized. As shown in Figs 6 and 8, biochar produced at a lower pyrolysis temperature (300 °C) consistently enhanced radish growth and root system development compared with biochar produced at 500 °C, while application rate emerged as the dominant factor governing soil–plant responses, where a 2% (w/w) amendment improved soil fertility without adverse effects, whereas a 5% application elevated soil electrical conductivity and induced nutrient imbalances that suppressed plant performance. The incorporation of bedding materials, including pine shavings and rice hulls further improved agronomic outcomes by reducing Na availability and enhancing the K : Na ratio, thereby mitigating salt-related stress. Collectively, these findings indicate that PLB produced at 300 °C with bedding material and applied at ≤ 2%, represents an agronomically safe and practical strategy for sustainable nutrient recycling in poultry-intensive regions, while emphasizing the need for future field-scale studies to evaluate long-term nutrient dynamics, microbial interactions, and the persistence of salinity-related effects under repeated applications.

      • The author (Yulai Yang) would like to acknowledge the Morgan State University School of Graduate Studies for providing financial support for this graduate research study. This author also wishes to acknowledge the support received from the research team members at the Center for Advanced Energy Systems and Environmental Control Technologies (CAESECT) Lab and the guidance received from the lab director.

      • The authors confirm their contributions to the paper as follows: Yulai Yang: conceptualization, methodology, experiment and data analysis, writing—original draft preparation; Md Nashir Uddin: methodology, experiment and data analysis, review and editing; Xuejun Qian: methodology, experiment and data analysis, review and editing, supervision, funding acquisition; Samuel O. Alamu: review and editing; Seong W. Lee: review and editing, supervision, funding acquisition; Dong Hee Kang: conceptualization, methodology, review and editing, supervision, funding acquisition. All authors have read and agreed to the published version of the manuscript.

      • The datasets generated during and/or analyzed during the current study are available from the corresponding author upon reasonable request.

      • This research was supported and funded by the National Science Foundation's Excellence in Research Program, Division of Chemical, Bioengineering, Environmental and Transport Systems (CBET), Directorate for Engineering (ENG), grant under award number 2200616.

      • The authors declare that they have no known competing financial interests or personal relationships that could have appeared to influence the work reported in this paper.

      • Full list of author information is available at the end of the article.

      • Copyright: © 2026 by the author(s). Published by Maximum Academic Press, Fayetteville, GA. This article is an open access article distributed under Creative Commons Attribution License (CC BY 4.0), visit https://creativecommons.org/licenses/by/4.0/.
    Figure (8)  Table (6) References (41)
  • About this article
    Cite this article
    Yang Y, Uddin MN, Qian X, Alamu SO, Lee SW, et al. 2026. The effect of poultry litter biochar generated at different pyrolysis conditions on radish germination and growth. Biochar X 2: e012 doi: 10.48130/bchax-0026-0009
    Yang Y, Uddin MN, Qian X, Alamu SO, Lee SW, et al. 2026. The effect of poultry litter biochar generated at different pyrolysis conditions on radish germination and growth. Biochar X 2: e012 doi: 10.48130/bchax-0026-0009

Catalog

    /

    DownLoad:  Full-Size Img  PowerPoint
    Return
    Return