-
Cymbidium ensifolium 'Dongfang Honghe' is an important cultivar of orchids, resulting from the cross-breeding of C. ensifolium 'Junhe' and C. ensifolium 'Shizhanghong'. A distinct characteristic of this cultivar is its flower morphology, which features orthogonal lotus-like petals and a gradual transition in flower color from the initial bloom to a peach-red hue. The flowering period is notably extended, occurring from May to December and the plant typically produces a considerable number of flowers per stem, ranging from 5 to 8. The blossoms emerge in clusters, exhibiting a full and vibrant appearance, thereby possessing significant ornamental value. As one of the most potted flowers in the market, the demand for C. ensifolium 'Dongfang Honghe' is on the rise annually, which has led to an increase in production efficiency and large-scale cultivation[1].
Different varieties of orchids have different substrate requirements. In production, the common substrate ratio for Phalaenopsis aphrodite is pine bark : moss : perlite (7:2:1)[2], for Dendrobium nobile a commonly used substrate is coconut shells : pine bark : volcanic rock (5:3:2), and the another commonly used mixed substrate ratio is pine bark : perlite (6:4)[3]. However, there are some wasteful situations in the use of substrates, such as bark or coconut husk produce debris in crushing and sieving, which are often discarded, with a utilisation rate of less than 60%; the old substrate is discarded due to decay or salt accumulation, especially water moss and bark are difficult to recycle after decomposition, which may pollute the environment[4]. In areas where cedar is abundant, traditional substrates can be replaced by cedar wood blocks, but the water-absorbing capacity of cedar wood blocks is weaker than that of pine bark, so they need to be combined with coconut husk or bamboo charcoal to enhance moisture retention[5].
To mitigate unnecessary fertilizer waste, reduce production costs, and to optimize the use of cultivation substrates, it is essential to investigate new lightweight and easily manageable substrates. Furthermore, it is imperative to develop simple yet highly efficient cultivation methods that promote sustainable practices within the potted orchid flower industry. This approach seeks to achieve a dual benefit of economic and ecological value[6].
Slow-release fertilizer is an efficient way of fertilization[7]. It exhibits prolonged fertilizer efficacy and enhances nutrient utilization[8], resulting in significant savings in both time and cost for the grower. The release mechanism of slow-release fertilizers maintains nutrient concentrations in the growing medium at relatively low levels, thereby minimizing the likelihood of salt damage to seedlings[9]. Microbial fungicides consist of bacterial agents that contain one or more beneficial microorganisms capable of activating the substrate, promoting the release of essential nutrients, inhibiting pathogens, and enhancing plant resistance[10,11]. They are increasingly recognized as viable alternatives to conventional pesticides and chemical fertilizers[12]. As innovative forms of fertilizers, slow-release fertilizers, and microbial fungicides offer numerous advantages, and serve as crucial tools for the efficient fertilization and management of orchids[13].
Perlite, a commonly utilized substrate for orchids, is classified as a non-renewable resource[14]. Its rising costs, driven by shortages, pose significant constraints on the development of the orchid industry. Consequently, it is essential to explore and develop alternative substrates that are widely available, inexpensive, easily accessible, and environmentally friendly[14,15]. This approach not only holds promise for the orchid industry but is also crucial for the sustainable development of national orchid industrialization. Among potential alternatives, pine bark, and cedar wood blocks exhibit desirable properties, being lightweight, loose, and with neutral pH[16]. Additionally, bamboo charcoal is characterized by its loose and porous structure, which offers a strong adsorption capacity, thereby enabling the regulation of fertilizer concentration and pH levels. Bamboo charcoal is rich in trace elements and serves as an effective carrier for microorganisms and organic nutrients[17,18]. Such characteristics render these materials advantageous for use as substrates in orchid cultivation. China possesses abundant forest resources, with numerous wood processing plants generating substantial quantities of pine bark, cedar wood chips, and bamboo charcoal as by-products. The strategic application of these materials in large-scale orchid cultivation could significantly mitigate the pressure associated with the accumulation of forestry resources, reduce the waste of limited resources, and reduce the cost of substrate cultivation.
Fertilization management and cultivation substrates are critical factors affecting plant quality and represent significant research avenues aimed at advancing the national orchid industry towards more efficient, simplified cultivation practices. Current research has explored the integration of these two factors in Chrysanthemums and Phalaenopsis orchids[19], yet most studies focus on the flowering stages, revealing a significant gap in seedling stage research. The successful development of plants during the seedling stage is essential for subsequent flowering. Moreover, most of the studies on Cymbidium ensifolium focus on its genetic diversity, physiological and ecological responses, and optimization of traditional substrates but there are significant limitations, such as insufficient systematic research on sustainable substrates, lack of multifactorial interaction analyses, and lack of assessment of long-term cultivation stability and ecological benefits[6]. Therefore, the present study utilized two-year-old C. ensifolium 'Dongfang Honghe' as the experimental material, employing a three-factor, five-level quadratic generalized regression rotated combination design to investigate the effects of commonly used microbial fungicides and slow-release fertilizers to the growth of C. ensifolium 'Dongfang Honghe' across various substrate ratios. The purpose of this study was to analyze the cultivation traits of C. ensifolium under different treatments, identify optimal cultivation combinations, reduce production costs, and promote simple and efficient orchid cultivation.
-
The experiment was conducted from March 2021 to December 2022 at the Variety Research and Development Base of Fujian Liancheng Orchid Co., Ltd., Fujian, China (latitude 25°31' N, longitude 116°40' E). The greenhouse at the base was equipped with an Internet of Things (IoT) monitoring device provided by Fujian Talos Technology Co., Ltd (Fujian, China). Atmospheric temperature, light intensity, and humidity within the greenhouse were recorded at five-minute intervals. Monitoring data collected from September 2021 to July 2022 showed that the average daily temperature during the study period ranged from 6 to 30 °C (Supplementary Fig. S1a). The atmospheric humidity fluctuated between 64% and 99% (Supplementary Fig. S1b). The average daily photosynthetically active radiation reached 1,000 µmol·m−2·s−1 on clear days from February to October and ranged from 1,500 to 3,000 µmol·m−2·s−1 from November to January of the following year (Supplementary Fig. S1c).
Experimental materials
Tested varieties
-
Uniformly growing and healthy 2-year-old C. ensifolium 'Dongfang Honghe' plants were used as experimental material. Plants were cultivated in 12 cm × 12 cm pots, with 2−3 seedlings per pot. The potted seedlings were placed on a seedbed with a height of 0.5 m and a width of 1.40 m for the cultivation experiment.
Tested fertilizers
-
The fertilizers were purchased online from Taobao. The slow-release fertilizer was Osmocote No. 601 (Scotts Corporation, USA, N - 10%, P2O5 - 11%, K2O - 18%, 2MgO, TE) and it was applied every 150−180 d. The microbial agent types included Chashanshan - Orchid Bacteria King (Jiangsu Shengjiu Agrochemical Co., Jiangsu, China, applied every 10 d at a dilution of 1:1,000 times), the EM microbial agent (Jiangsu Shengjiu Agrochemical Co., Jinagsu, China, applied every 10 d at a dilution of 1:1,000 times), Huayi Brand - Orchid Bacteria King (Sichuan Huayi Technology Co., Sichuan, China, applied every 7−10 d in spring and autumn; every 10−15 d in summer; every 15−30 d in winter, diluted 500 times), and Huada Shu - Orchid Bacteria Spirit (Henan Shuanghui Agricultural Science and Technology Development Co., Henan, China, applied every 7−10 d in spring and autumn; every 10−15 d in summer; every 15−30 d in winter, diluted 500 times).
Tested substrates
-
The substrates were provided by Liancheng Orchid Co. Ltd. and included pine bark (6−9 mm), fir blocks (3−15 mm), bamboo charcoal (6−12 mm), and perlite (4−8 mm). Five substrate ratios were obtained by mixing pine bark, fir blocks, bamboo charcoal, and perlite, and the physical and chemical properties of the five substrates were determined[20] (Table 1). On July 24, 2021, the pots were changed, and all the tested plants were transplanted into the new substrates, watered thoroughly, and after a one-month acclimatization period, the fertilizer treatment was applied. Appropriate watering was carried out according to the weather conditions, and other management measures were the same except for the experimental factors.
Table 1. Physicochemical properties of different matrix ratios.
Matrix ratio Volume weight (g·cm−3) Total porosity (%) Ventilation porosity (%) EC (µS·cm−1) pH Pine bark : perlite = 6:4 0.2 57.2 35.3 180.0 6.55 Pine bark : cedar plank : perlite = 3:3:4 0.2 57.0 25.0 33.5 6.75 Cedar plank : perlite = 6:4 0.2 63.0 30.0 43.5 6.72 Bamboo charcoal : cedar plank : perlite = 3:3:4 0.3 52.0 19.0 82.5 7.56 Bamboo charcoal : perlite = 6:4 0.3 45.0 18.0 105.0 7.37 Experimental design
-
A three-factor and five-level quadratic regression universal rotation combination design method was adopted, resulting in 20 treatments, with each treatment repeated six times, for a total of 120 pots. The experimental factors and levels are shown in Supplementary Table S1, and the experimental structure matrix is shown in Supplementary Table S2.
Morphological indexes
Plant height and leaf number
-
Measurements were initiated on August 24, 2021, and subsequently conducted every three months for a total of five times during the one-year experimental period. Three experimental plants with similar growth in each treatment were selected, and the vertical height of the plants in their natural state was measured with a tape measure, and the total number of leaves per pot was counted manually.
Root parameters
-
At the end of the experiment on August 24, 2022, the plant exhibiting the most significant growth in each treatment group was selected, and its entire root system of the plant was cut down. The root system was completely separated from the substrate, thoroughly washed with deionized water, and the surface moisture was absorbed using soft paper. A root scanner (HM-GX02) was used to scan the root system, and WinRHIZO Pro 2016a was used to analyze the image to obtain parameters such as root length, root volume, average root diameter, and total root surface area.
Leaf nutrient content indexes
Leaf nitrogen, phosphorus, and potassium contents
-
The main instrument used was a high-intelligence soil fertilizer nutrient detector (HM-GT3). Sampling for leaf nitrogen, phosphorus, and potassium content was started on 24 August 2021 after the determination of morphological indicators. The leaves of the potted experimental seedlings in each treatment group were thoroughly cleaned, and 2−3 mature leaves from the apex of each treatment were excised. These leaves were dried in an 80 °C drying oven for 2 h, after which they were ground into a fine powder. A precise weight of 0.05 g was measured and placed into a triangular flask, which was then moistened with 2−3 drops of water. Following this, 1.0 mL of concentrated sulfuric acid and 10 drops of a plant digestion accelerator were added sequentially. The mixture was gently agitated, and a small funnel was placed at the mouth of the flask. The resulting mixture was heated and digested in a 300 °C electric furnace until it became transparent. After cooling, it was filtered and diluted to a final volume of 100 mL, ensuring thorough mixing to obtain the test solution. Using a pipette, 2.0 mL each of distilled water (as a blank solution), a plant standard solution, and the test solution was dispensed into three small glass bottles, and the total nitrogen content, total phosphorus content, and total potassium content of the leaves were measured. The experimental operation was repeated three times.
Data analysis
-
SPSS 26.0 was used for single-factor analysis of variance and entropy weight analysis. Design Expert 13.0 was used for regression model establishment and coefficient testing, and Origin 2024 was used for graphing and data statistics. The correlation analysis was done using SPSS 26.0, importing the original file, using the Pearson analysis method, and finally outputting the table. The Pearson correlation coefficient ranges from −1 to 1, with the magnitude of the coefficient indicating the strength of the linear relationship between variables. A statistically significant correlation (p < 0.05) suggests that the observed relationship is unlikely to have occurred by chance. The regression model used in this study was:
$\begin{split} Y=\;&n_0 + n_1X_1 + n_2X_2 + n_3X_3 + n_{12}X_1X_2 + n_{13}X_1X_3 +\\& n_{23}X_2X_3 + n_{11}X_1^2 + n_{22}X_2^2 + n_{33}X_3^2 \end{split}$ (1) This equation represents each dependent variable (the measured indexes), while the independent variables represent the coded values of the substrate ratio, microbial agent, and Osmocote No. 601, respectively.
-
Different periods and treatments exhibited significant effects on plant height. From August 24, 2021, to February 24, 2022, plant height increased gradually; however, from February 24 to August 24, 2022, there was a marked increase in plants. Throughout the entire duration of the study, plant height ranged from 10.30 cm to 21.77 cm during the entire period. The growth performance of treatments T1, T4, T6, T7, T9, T11, and T12 were suboptimal, whereas the treatments T2, T3, T5, T8, T10, T13, T14, and T15−20 consistently exhibited increases in plant height. Notably, treatment T3 achieved the maximum height of 21.77 cm on August 24, 2022, while T7 recorded the minimum height of 11.97 cm. The maximum height represented an increase of 81.9% compared to the minimum height (Fig. 1). Overall, the treatments that demonstrated superior growth in plant height were T3, T8, and T15−20.
Figure 1.
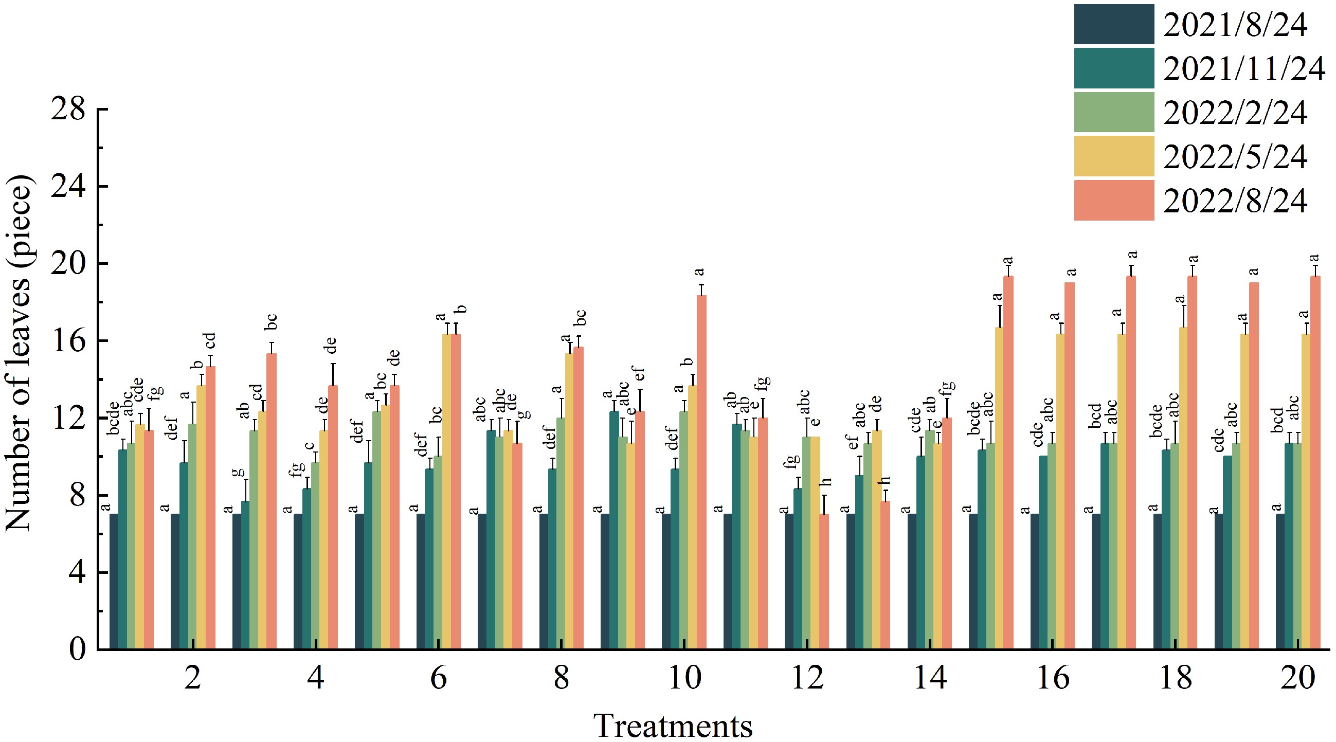
Effects of different treatments on plant height of C. ensifolium 'Dongfang Honghe'. Different lowercase letters indicate the difference between different treatments of the same time (p < 0.05).
Effects of different treatments on leaf number of C. ensifolium 'Dongfang Honghe'
-
There were significant effects of various periods and treatments on leaf count. Notably, leaf growth exhibited a slower rate from August 24, 2021, to February 24, 2022, followed by an accelerated growth phase from February 24 to August 24, 2022. Throughout this period, the number of leaves varied between seven and 19. Specifically, the growth of treatments T1, T7, T9, T11, T12, T13, and T14 was suboptimal, while treatments T2, to T6, T8, T10, and T15−20 consistently demonstrated good growth. T15−20 reached its peak on August 24, 2022, with a total of 19 leaves, whereas T12 recorded the lowest count with only seven leaves. The maximum leaf count was found to be 2.7 times greater than the minimum (Fig. 2). Collectively, treatments T10 and T15−20 emerged as the most effective in promoting leaf growth.
Effects of different treatments on root parameters and leaf nitrogen, phosphorus, and potassium content of C. ensifolium 'Dongfang Honghe'
-
Different treatments exerted significant effects on the root parameters as well as the nitrogen, phosphorus, and potassium content in the leaves of C. ensifolium 'Dongfang Honghe'. Taken together, the T15−20 had the highest values for root parameters, alongside elevated levels of leaf nitrogen, phosphorus, and potassium. This indicates that this treatment mode possesses significant advantages in promoting the growth of the root system of C. ensifolium 'Dongfang Honghe' and the increasing leaf contents of nitrogen, phosphorus, and potassium (Table 2).
Table 2. Effects of different treatments on root parameters and leaf nutrient content of C. ensifolium 'Dongfang Honghe'.
Treatment Total root
length (cm)Total root surface
area (cm2)Average root
diameter (mm)Total root
volume (cm3)Total nitrogen
(mg·g−1)Total phosphorus
(mg·g−1)Total potassium
(mg·g−1)1 280.2e 250.5h 3.01l 20.1i 8.2f 5.6a 17.4hi 2 262.3g 302.2e 3.6a 28.0e 19.0a 4.8ab 35.4abc 3 208.0n 179.2o 2.7o 12.4o 14.3cd 5.7a 24.5efg 4 190.8o 182.6n 3.1k 13.9n 17.6ab 1.7d 31.0cd 5 389.2a 437.4a 3.6b 39.4d 12.3de 2.0d 21.3fgh 6 234.0j 247.6i 3.3g 21.0h 19.0a 4.7ab 27.8de 7 216.6l 230.3j 3.3h 19.9j 7.8f 1.8d 10.3j 8 260.9h 226.8l 2.8n 15.7m 7.8f 3.9bc 25.6de 9 169.6p 136.4p 2.5p 8.8p 11.3e 4.4ab 24.3efg 10 235.9i 255.3g 3.4d 22.0g 15.5bc 2.6cd 33.1bc 11 265.0f 271.2f 3.3i 22.2f 10.5ef 4.3ab 19.5gh 12 112.6q 100.5q 2.8m 7.4q 14.5cd 3.9bc 33.2bc 13 230.8k 230.0k 3.2j 18.3k 8.5f 4.2ab 13.6ij 14 209.8m 218.2m 3.4f 18.1l 17.8ab 4.4ab 33.9abc 15 382.7b 356.7b 3.5c 45.1a 18.5a 5.2ab 38.9a 16 353.7d 350.6c 3.4e 42.1b 19.8a 5.7a 38.5ab 17 371.4c 340.5d 3.4d 41.7c 18.8a 5.3ab 38.0ab 18 382.7b 356.7b 3.5c 45.1a 18.5a 5.2ab 38.9a 19 353.7d 350.6c 3.4e 42.1b 19.8a 5.7a 38.5ab 20 371.4c 340.5d 3.4d 41.7c 18.8a 5.3ab 38.0ab Different lowercase letters indicate the difference between different treatments of the same index (p < 0.05). Regression model effect analysis
Regression modeling
-
For multifaceted analysis, the values of growth and physiological indexes were designated as the dependent variables, which were Y1 (seedling height), Y2 (number of leaves), Y3 (total nitrogen), Y4 (total phosphorus), and Y5 (total potassium). The substrate ratios (X1), the type of fungicide (X2), and the AoGreen Fertilizer No. 601 (X3) were taken as the independent variables. This framework facilitated the establishment of regression equations, the execution of significance tests, and the exclusion of insignificant regression coefficients, ultimately resulting in the regression model expression as follows:
$ \rm{Y}2\; (number\; of\; leaves)=19.130+1.420X1-2.840X2^2-2.720X3^2 $ (2) $ \begin{split} \rm{Y}3\; (total\; nitrogen)=\; & 19.020+2.040\mathrm{X}1-2.550\mathrm{X}2\mathrm{X}3- \\ &\rm{1}.870\mathrm{X}1^2-2.190\mathrm{X}2^2-1.950\mathrm{X}3^2 \end{split} $ (3) $ \begin{split} \rm{Y}4\; (total\; phosphorus)=\; & 5.410+1.210X1X3-0.703X1^2 \\ &\rm{-}0.483X2^2-0.420X3^2 \end{split} $ (4) Main effect analysis
-
According to the established regression models Eqns (2)−(4), it can be seen that X1 has a significant positive effect on the number of leaves and leaf total nitrogen of the biennial 'Oriental Red Lotus'. As for the coupling factors, X2 × X3 had a significant negative effect on leaf total nitrogen content, and X1 × X3 had a significant positive effect on leaf total phosphorus content.
Analysis of single-factor effects
-
To more intuitively understand the effects of factors X1, X2, and X3 on the growth and physiological indexes of biennial 'Oriental Red Lotus', the analysis involved fixing two of the three factors at a level of 0, respectively. This approach enabled the derivation of regression sub-equations that describe the relationship between the dependent variable and the remaining factors (Fig. 3). The results indicated that the number of leaves exhibited a positive correlation with increases in X1, as well as with increases in X2 and X3. Furthermore, the sub-equations for total nitrogen content and total phosphorus content were both represented by quadratic curves with downward openings. This suggests that both total nitrogen content and total phosphorus content demonstrated a parabolic trend, characterized by an initial increase followed by a decrease, as the levels of X1, X2, and X3 were varied. Notably, the maximum values for both total nitrogen and total phosphorus content were attained when the level of all three factors was maintained at zero.
Figure 3.
Single-factor effect analysis of leaf number, total nitrogen and total phosphorus of C. ensifolium 'Dongfang Honghe'. (a) One-way effects analysis of leaf number; (b) One-way effect analysis of total nitrogen content of leaves; (c) One-way effect analysis of leaf total phosphorus content.
Analysis of the coupling effect
-
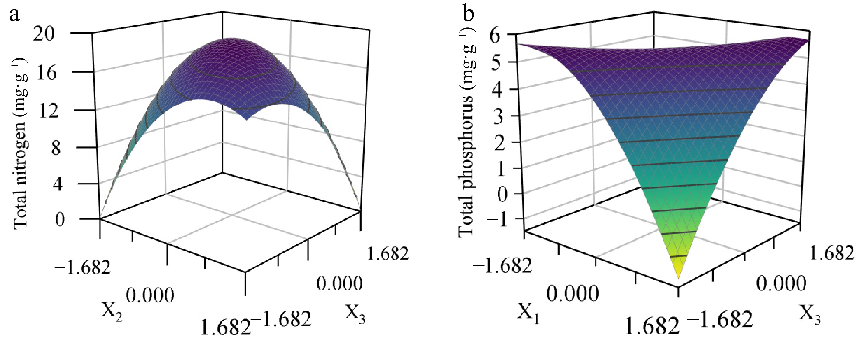
From the model Eqns (2)−(4), it can be seen that the regression model of total nitrogen and total phosphorus has a coupling effect and reaches a significant level. Therefore, it can be further analyzed by applying the response surface analysis method, and the model can be obtained by fixing X1 = 0 and X2 = 0, respectively Eqns (5) and (6).
$ \rm{Y3\; (total\; nitrogen)=19.020-2.550X2X3-2.190X2^2-1.950X3^2} $ (5) $ \rm{Y4\; (total\; phosphorus)=5.410+1.210X1X3-0.703X1^2-0.420X3^2} $ (6) According to Eqns (5) and (6), the coupled effect of X2 × X3 on total nitrogen and X1 × X3 on total phosphorus can be plotted (Fig. 4). With the increase of X2 × X3 level, the total nitrogen content first increased and then decreased, and at X2 value of 0.054 and X3 value of −0.054, the total nitrogen content reached the maximum value of 19.015 mg·g−1. With the increase of X1 × X3 level, the total phosphorus content first decreased and then increased, and at the X1 value of −1.465 and X3 value of −1.682, the total phosphorus content reached the maximum value of 5.695 mg·g−1. This indicates that suitable substrate ratios, fungicide types, and slow-release fertilizer dosage were significantly correlated with the increase of total nitrogen content and total phosphorus content.
Figure 4.
Effects of factors coupling total nitrogen and total phosphorus of C. ensifolium 'Dongfang Honghe'. (a) Interaction effect analysis of total nitrogen content; (b) Interaction effect analysis of total phosphorus content. Darker colours indicate a stronger effect of the interaction on nutrient content, while lighter colors indicate a weaker effect. The transition of colors from cooler to warmer shades corresponds to a trend from low to high N/P content.
Comprehensive evaluation analysis
Correlation analysis
-
Pearson's method was used for correlation analysis and the results showed that the correlation between the three factors and the morphology indexes and leaf nutrient content indexes existed, but the overall correlation was not significant (Fig. 5). Fungicide showed significant negative correlation with the total surface area of the root system and the average diameter of the root system. This indicates that increase in the level of fungicide is negatively correlated with the total surface area and the average diameter of the root system.
Figure 5.
Heat map of correlation between three factors and morphological indices and leaf nutrient content indexes of C. ensifolium 'Dongfang Honghe'. Blue indicates a negative correlation, red indicates a positive correlation, and the darker the color, the stronger the correlation. The thinner the blue ellipse, the smaller the value, the closer it is to −1. The more elongated the red ellipse, the larger the value, the closer it is to 1. * p ≤ 0.05 and ** p ≤0.01.
Entropy weight analysis
-
The entropy weight analysis method[21] was used to comprehensively analyze the morphology indexes and leaf nutrient contents of each treatment. The results showed that the two indicators, nitrogen and root volume, had the highest weights in the dataset and had the most significant impact on the overall evaluation (Table 3). We utilized the SPSS for analyzing the weights of each variable, which produced the highest composite score for T15 (Table 4). The optimal seedling height was 19.35 cm, the number of leaves was 19.33, the total root length was 382.79 cm, the root surface area was 356.72 cm2, and the average diameter of root was found to be 3.47 mm. Total root volume was 45.12 cm3, the total nitrogen content of leaves was 18.50 mg·g−1, the total phosphorus content of leaves was 5.21 mg·g−1, and the total potassium content of leaves was 38.91 mg·g−1.
Table 3. Calculation results of the weights of morphological indicators and leaf nutrient content indicators of C. ensifolium 'Dongfang Honghe' under different treatments.
Targets Information entropy value Information utility value Weights (%) Seedling height 0.943 0.057 10.887 Leaf number 0.947 0.053 10.001 Root length 0.951 0.049 9.246 Root surface area 0.95 0.05 9.41 Root diameter 0.957 0.043 8.085 Root volume 0.917 0.083 15.832 Nitrogen 0.914 0.086 16.264 Phosphorus 0.941 0.059 11.114 Potassium 0.952 0.048 9.162 Table 4. Combined scores of morphological indexes and leaf nutrient content indexes of C. ensifolium 'Dongfang Honghe' under different treatments.
Treatment Comprehensive score index Ranking 1 0.41 13 2 0.66 4 3 0.51 9 4 0.42 12 5 0.57 6 6 0.59 5 7 0.27 17 8 0.43 10 9 0.33 16 10 0.55 7 11 0.42 11 12 0.33 15 13 0.36 14 14 0.54 8 15 0.88 1 -
Slow-release fertilizers and microbial fungicides are both environmentally friendly and effective agricultural inputs. The integration of these two components into a composite substrate holds significant potential for optimizing the cultivation of orchids. In this study, the growth parameters of seedlings, including height, leaf number, root characteristics, and leaf nutrient content, were examined. The results indicated that the treatment T15 outperformed treatments T11 and T13, suggesting that the combined application of slow-release fertilizer and EM fungicide significantly enhanced the growth of C. ensifolium 'Dongfang Honghe' compared to using either the slow-release fertilizer or EM fungicide alone. The elevated measurements of plant height, leaf count, and root parameters for T15 underscore the importance of synergistically utilizing both fertilizers and microbial fungicides for the efficient cultivation of C. ensifolium 'Dongfang Honghe'. Furthermore, morphological indexes of C. ensifolium 'Dongfang Honghe' cultivated under treatment T14 were inferior to those of T15, implying that an excessive application of slow-release fertilizer may be detrimental to plant growth.
Influence of individual factors of substrate and fertilizer on the growth and development of Cymbidium ensiform
-
A suitable cultivation substrate can provide an optimal absorption environment for plant roots, reduce fertilizer wastage, mitigate the occurrence of pests and diseases, and ultimately influence the economic benefits of cultivation[22]. This study demonstrated that the total nitrogen and phosphorus content initially increased and then decreased with varying substrate ratios. Specifically, the incorporation of bamboo charcoal at a 30% ratio to the substrate significantly enhanced the nitrogen and phosphorus content in the leaves of C. ensifolium 'Dongfang Honghe'. Conversely, when the proportion of bamboo charcoal increased to 60%, a detrimental effect was observed. Furthermore, the analysis indicated that the bamboo charcoal-perlite mixture adversely affected the growth of C. ensifolium 'Dongfang Honghe', as evidenced by the low composite score of the T10 treatment. This negative impact may be attributed to the larger proportion of bamboo charcoal, which resulted in higher density and lower total porosity, consequently impairing permeability and hindering the root system's oxygen absorption. Additionally, the substrate with a bamboo charcoal : perlite ratio of 6:4 exhibited a higher pH, disrupting the acid-neutral conditions essential for the growth of Cymbidium ensifolium[23].
Microbial fungicides contain a large number of beneficial flora, which can increase the content of quick-acting nutrients and enhance plant resistance[24]. Some studies have shown that microbial fungicides are effective in increasing the length of new shoots, the number of new shoots and new leaves, and the chlorophyll content of honeysuckle[25]. Additionally, good strains of bacteria can also significantly increase plant height, the number of leaves, and the root parameters of Dendrobium officinale[26].
Slow-release fertilizers have significant effects on the growth of flowers, such as cyclamen, petunia, and lilies[27−29]. Some studies have shown that the application of slow-release fertilizers positively impacts the growth and development of Phalaenopsis aphrodite[30]. In the unifactorial analysis of this study, leaves, as well as the total nitrogen and phosphorus content in the leaves, exhibited an initial increase followed by a decrease in response to varying levels of mycorrhizal agents and slow-release fertilizers. The peak values were observed when both fertilizer factors were applied at moderate levels. This finding suggests that the EM mycorrhizal agent outperformed the Huayi Brand - Orchid Fungus King and Flower Uncle - Orchid Fungus Spirit in terms of cultivation efficacy. Furthermore, a moderate application of slow-release fertilizer (20 capsules of Ao Green Fertilizer No. 601) proved to be more beneficial for the growth and leaf nutrient accumulation of C. ensifolium 'Dongfang Honghe'. In contrast, a high fertilizer application (32 grains/40 grains of Ao Green Fertilizer No. 601) resulted in inhibitory effects. These results indicated that different orchid species exhibit varying compatibility with types of fungicides, and the application of slow-release fertilizers necessitates a judicious approach, as the improper application may adversely affect plant quality[31].
Effects of substrate and fertilizer interaction on the growth and development of C. ensifolium 'Dongfang Honghe'
-
Suitable cultivation substrates and nutrients are indispensable components of quality plant growth, and there exists an interaction between these factors[32]. The present study demonstrated that the total nitrogen content increased and then decreased with the exhibited an initial increase followed by a decrease as the levels of fungicide and slow-release fertilizer were elevated. The maximum total nitrogen content was observed at an intermediate level. Conversely, the total phosphorus content displayed a reduction followed by an increase in response to the rising levels of substrate ratio and slow-release fertilizer, with its peak value occurring at a lower level. These findings suggest that an appropriate combination of substrate ratio, fungicide type, and dosage of slow-release fertilizer is more conducive to enhancing both total nitrogen and the total phosphorus content.
Substitution potential of fir block-perlite composite substrate and challenges of industrialization and promotion
-
The present study showed that the composite substrate of cedar wood blocks and perlite combined with T15 treatment of slow-release fertilizer and EM fungicide significantly outperformed the traditional perlite substrate in 'Oriental Red Lotus' in terms of seedling height, leaf nutrient accumulation, and root development, and that its physicochemical properties (total porosity 63.0%, aeration porosity 30.0%, pH 6.72) were similar to those of perlite substrate, indicating its potential for substitution. In terms of resource sustainability, cedar wood blocks, as a by-product of forestry processing, can significantly reduce the cost of substrate and alleviate the pressure of perlite resource shortage[5]; in terms of ecological benefits, this ratio reduces the risk of pollution from waste substrates, which is in line with the needs of green agriculture. However, there are two points to be considered when replacing the traditional method: firstly, the adaptability of different orchid species to the substrate varies significantly; secondly, too high a proportion of bamboo charcoal may inhibit the growth of orchids due to the high density and pH imbalance (e.g. the T10 treatment), so the proportion needs to be strictly regulated[18]. Therefore, in market promotion, research on multi-species and long-term cultivation stability is needed to promote the efficient implementation of this program in the industry.
-
The results presented above demonstrate that the choice of suitable cultivation substrate and fertilization method significantly influences the growth of orchids. Specifically, a substrate composed of cedar wood blocks and perlite, combined with the application of Ao Green Fertilizer 601 No. 20 grains (administered every 180 d) and EM fungicide (applied every 10 d), yields the most effective cultivation outcomes. This study elucidates the optimal substrate ratios and fertilizer dosages, highlighting their environmentally friendliness and efficient characteristics. Consequently, these findings suggest that this approach is particularly suitable for the biennial cultivation of C. ensiform. Furthermore, it is recommended for broader application in the cultivation of C. ensifolium 'Dongfang Honghe'.
This work was supported by the National Key R&D Program of China (2023YFD1600504; 2020YFD1000400), and the 2021 Fujian Agriculture and Forestry University 'Rural Revitalization Service Team' Support Program Project (Grant No. 11899170151). We thank Dr. Sagheer Ahmad (Oasis Academy, United Kingdom) for manuscript revision.
-
The authors confirm contribution to the paper as follows: study conception and design: Li QN, Wu S; data collection: Li QY, Li QN, Zhang S, Rao X, Deng S, Wu T, Peng Y; analysis and interpretation of results: Li QN, Chen L, Peng Y; draft manuscript preparation: Li QY, Zhang S, Zhai J, Wu S; supervision: Wu S. All authors reviewed the results and approved the final version of the manuscript.
-
All data generated or analyzed during this study are included in this published article.
-
The authors declare that they have no conflict of interest.
-
# Authors contributed equally: Qingyuan Li, Qingnü Li
- Supplementary Table S1 Test factors and levels.
- Supplementary Table S2 Test factors and horizontal coding values.
- Supplementary Fig. S1 Changes of greenhouse average temperature, average humidity, and average light intensity during the experiment.
- Copyright: © 2025 by the author(s). Published by Maximum Academic Press, Fayetteville, GA. This article is an open access article distributed under Creative Commons Attribution License (CC BY 4.0), visit https://creativecommons.org/licenses/by/4.0/.
-
About this article
Cite this article
Li Q, Li Q, Chen L, Deng S, Wu T, et al. 2025. Effects of slow-release fertilizer and microbial agents on the growth of Cymbidium ensifolium 'Dongfang Honghe' cultivated in substrate. Technology in Horticulture 5: e029 doi: 10.48130/tihort-0025-0024
Effects of slow-release fertilizer and microbial agents on the growth of Cymbidium ensifolium 'Dongfang Honghe' cultivated in substrate
- Received: 14 February 2025
- Revised: 12 May 2025
- Accepted: 05 June 2025
- Published online: 04 August 2025
Abstract: Cymbidium ensifolium is a representative species of national orchids, which has both ornamental and economic value. Its high-quality hybrid variety 'Dongfang Honghe' is highly favoured for its lotus petal flower type and long flowering period. However, the shortage of substrate resources such as perlite and the low fertilizer utilization rate in traditional cultivation restrict its large-scale production. In this study, a three-factor and five-level quadratic regression universal rotation combination design was employed to investigate the effects of substrate ratio, microbial agents, and slow-release fertilizer on the growth of Cymbidium ensifolium 'Dongfang Honghe'. Analysis of variance revealed that T15 (Chinese fir block : perlite ratio of 3:4, Effective Microorganisms (EM), and 20 grains of Osmocote No. 601) significantly affected seedling height, leaf number, root parameters, leaf total nitrogen content, and total phosphorus content compared to the other treatments. Furthermore, the leaf count, along with the total nitrogen and total phosphorus content in the leaves was increased with the application of the EM and an appropriate quantity of slow-release fertilizer (20 grains of Osmocote No. 601). The total nitrogen content in the leaves was significantly reduced by the microbial agent Osmocote No. 601, while the interaction of the matrix ratio and Osmocote No. 601 significantly enhanced the total phosphorus content in the leaves. Therefore, T15 was the optimal combination for plant growth and development. This provides a theoretical foundation and efficient reproduction of orchids, as well as technical guidance for the management and cultivation of C. ensifolium.





