Search
2025 Volume 42
Article Contents
ARTICLE   Open Access    

Investigating causal associations between the genetic liability to primary open-angle glaucoma and psychiatric disorders

More Information
  • Received: 14 January 2025
    Revised: 18 April 2025
    Accepted: 22 July 2025
    Published online: 09 September 2025
    Visual Neuroscience  42 Article number: e017 (2025)  |  Cite this article
  • Current observational evidence on psychiatric diseases and primary open-angle glaucoma (POAG) is controversial. Our study aims to evaluate the putative causal associations between the genetic liability to psychiatric disorders and POAG, and add updated evidence to their linkage. Summary statistics of genome-wide association studies (GWASs) involving 192,702 participants (15,229 cases and 177,473 controls) were used for POAG. Large-scale GWAS summary datasets for psychiatric disorders of interest were also collected. Bi-directional two-sample Mendelian randomization analyses were performed, and sensitivity analyses were conducted to evaluate the robustness of our results. Genetically predicted POAG was causally associated with a slightly increased risk of schizophrenia (odds ratio [OR] = 1.035, 95% confidence interval [CI]: 1.009−1.062, p = 0.008). No evidence of causality was found for POAG and other selected psychiatric disorders (OR = 1.022, 95% CI: 0.988−1.056, p = 0.214 for attention deficit hyperactivity disorder; OR = 1.016, 95% CI: 0.984−1.049, p = 0.325 for anxiety disorder; OR = 1.040, 95% CI: 0.987−1.097, p = 0.143 for bipolar disorder; OR = 0.992, 95% CI: 0.967−1.017, p = 0.526 for depressive disorder) and vice versa. Our findings indicate the mild causal effect of a genetic predisposition to POAG on schizophrenia, and the effects on other psychiatric disorders are not significant. Optimized strategies for their observed comorbidity should be further developed in clinical practice.
  • 加载中
  • Supplementary Table S1 Characteristics of data sources used in this study.
    Supplementary Table S2 Assessment of pleiotropy of the Mendelian randomization analysis for the causal effect of psychiatric disorders of interest on primary open-angle glaucoma (POAG).
    Supplementary Table S3 Mendelian randomization analysis for validation of the causal effect of primary open-angle glaucoma (POAG) on schizophrenia.
    Supplementary Table S4 Assessment of pleiotropy of the Mendelian randomization analysis for the causal effect of primary open-angle glaucoma (POAG) on schizophrenia.
    Supplementary Table S5 Mendelian randomization analysis for validation of the causal effect of schizophrenia on primary open-angle glaucoma (POAG).
    Supplementary Table S6 Assessment of pleiotropy of the Mendelian randomization analysis for the causal effect of schizophrenia on primary open-angle glaucoma (POAG).
    Supplementary Fig. S1 Forest plots for the causal effects of primary open-angle glaucoma (POAG) on psychiatric disorders of interest.
    Supplementary Fig. S2 Leave-one-out sensitivity analysis for primary open-angle glaucoma (POAG) on psychiatric disorders of interest.
    Supplementary Fig. S3 Funnel plots for detecting any asymmetry of primary open-angle glaucoma (POAG) on psychiatric disorders of interest.
    Supplementary Fig. S4 Scatter plots for the causal effects of psychiatric disorders of interest on primary open-angle glaucoma (POAG).
    Supplementary Fig. S5 Forest plots for the causal effects of psychiatric disorders of interest on primary open-angle glaucoma (POAG).
    Supplementary Fig. S6 Leave-one-out sensitivity analysis for psychiatric disorders of interest on primary open-angle glaucoma (POAG).
    Supplementary Fig. S7 Funnel plots for detecting any asymmetry of psychiatric disorders of interest on primary open-angle glaucoma (POAG).
    Supplementary Fig. S8 Validation of the causal effect of primary open-angle glaucoma (POAG) on schizophrenia.
    Supplementary Fig. S9 Validation of the causal effect of schizophrenia on primary open-angle glaucoma (POAG).
  • [1] GBD 2017 DALYs and HALE Collaborators. 2018. Global, regional, and national disability-adjusted life-years (DALYs) for 359 diseases and injuries and healthy life expectancy (HALE) for 195 countries and territories, 1990−2017: a systematic analysis for the Global Burden of Disease Study 2017. The Lancet 392:1859−922 doi: 10.1016/S0140-6736(17)32130-X

    CrossRef   Google Scholar

    [2] Charlson F, van Ommeren M, Flaxman A, Cornett J, Whiteford H, et al. 2019. New WHO prevalence estimates of mental disorders in conflict settings: a systematic review and meta-analysis. The Lancet 394:240−48 doi: 10.1016/S0140-6736(19)30934-1

    CrossRef   Google Scholar

    [3] James SL, Abate D, Abate KH, Abay SM, Abbafati C, et al. 2018. Global, regional, and national incidence, prevalence, and years lived with disability for 354 diseases and injuries for 195 countries and territories, 1990–2017: a systematic analysis for the Global Burden of Disease Study 2017. The Lancet 392:1789−858 doi: 10.1016/S0140-6736(18)32279-7

    CrossRef   Google Scholar

    [4] GBD 2015 Disease and Injury Incidence and Prevalence Collaborators. 2016. Global, regional, and national incidence, prevalence, and years lived with disability for 310 diseases and injuries, 1990−2015: a systematic analysis for the Global Burden of Disease Study 2015. The Lancet 388:1545−602 doi: 10.1016/S0140-6736(16)31678-6

    CrossRef   Google Scholar

    [5] Tham YC, Li X, Wong TY, Quigley HA, Aung T, et al. 2014. Global prevalence of glaucoma and projections of glaucoma burden through 2040: a systematic review and meta-analysis. Ophthalmology 121:2081−90 doi: 10.1016/j.ophtha.2014.05.013

    CrossRef   Google Scholar

    [6] Zheng C, Zeng R, Wu G, Hu Y, Yu H. 2024. Beyond vision: a view from eye to Alzheimer's disease and dementia. The Journal of Prevention of Alzheimer's Disease 11:469−83 doi: 10.14283/jpad.2023.118

    CrossRef   Google Scholar

    [7] Tham YC, Cheng CY. 2017. Associations between chronic systemic diseases and primary open angle glaucoma: an epidemiological perspective. Clinical & Experimental Ophthalmology 45:24−32 doi: 10.1111/ceo.12763

    CrossRef   Google Scholar

    [8] Trouilloud A, Ferry E, Boucart M, Kauffmann L, Warniez A, et al. 2023. Impact of glaucoma on the spatial frequency processing of scenes in central vision. Visual Neuroscience 40:E001 doi: 10.1017/S0952523822000086

    CrossRef   Google Scholar

    [9] Zheng C, Liu S, Zhang X, Hu Y, Shang X, et al. 2022. Shared genetic architecture between the two neurodegenerative diseases: Alzheimer's disease and glaucoma. Frontiers in Aging Neuroscience 14:880576 doi: 10.3389/fnagi.2022.880576

    CrossRef   Google Scholar

    [10] Jampel HD, Frick KD, Janz NK, Wren PA, Musch DC, et al. 2007. Depression and mood indicators in newly diagnosed glaucoma patients. American Journal of Ophthalmology 144:238−244.e1 doi: 10.1016/j.ajo.2007.04.048

    CrossRef   Google Scholar

    [11] Prager AJ, Liebmann JM, Cioffi GA, Blumberg DM. 2016. Self-reported function, health resource use, and total health care costs among Medicare beneficiaries with glaucoma. JAMA Ophthalmology 134:357−65 doi: 10.1001/jamaophthalmol.2015.5479

    CrossRef   Google Scholar

    [12] Zhu MM, Lai JSM, Choy BNK, Shum JWH, Lo ACY, et al. 2018. Physical exercise and glaucoma: a review on the roles of physical exercise on intraocular pressure control, ocular blood flow regulation, neuroprotection and glaucoma-related mental health. Acta Ophthalmologica 96:e676−e691 doi: 10.1111/aos.13661

    CrossRef   Google Scholar

    [13] Çakmak H, Altinyazar V, Yilmaz SG, Ömürlü İK, Kocatürk T, et al. 2015. The temperament and character personality profile of the glaucoma patient. BMC Ophthalmology 15:125 doi: 10.1186/s12886-015-0117-9

    CrossRef   Google Scholar

    [14] Saeedi O, Ashraf H, Malouf M, Slade EP, Medoff DR, et al. 2016. Prevalence of diagnosed ocular disease in veterans with serious mental illness. General Hospital Psychiatry 43:1−5 doi: 10.1016/j.genhosppsych.2016.08.003

    CrossRef   Google Scholar

    [15] Smith D, Pantelis C, McGrath J, Tangas C, Copolov D. 1997. Ocular abnormalities in chronic schizophrenia: clinical implications. Australian and New Zealand Journal of Psychiatry 31:252−56 doi: 10.3109/00048679709073828

    CrossRef   Google Scholar

    [16] Liu CH, Kang EY, Lin YH, Wu WC, Liu ZH, et al. 2020. Association of ocular diseases with schizophrenia, bipolar disorder, and major depressive disorder: a retrospective case-control, population-based study. BMC Psychiatry 20:486 doi: 10.1186/s12888-020-02881-w

    CrossRef   Google Scholar

    [17] Zhang X, Olson DJ, Le P, Lin FC, Fleischman D, et al. 2017. The association between glaucoma, anxiety, and depression in a large population. American Journal of Ophthalmology 183:37−41 doi: 10.1016/j.ajo.2017.07.021

    CrossRef   Google Scholar

    [18] Mabuchi F, Yoshimura K, Kashiwagi K, Shioe K, Yamagata Z, et al. 2008. High prevalence of anxiety and depression in patients with primary open-angle glaucoma. Journal of Glaucoma 17:552−57 doi: 10.1097/IJG.0b013e31816299d4

    CrossRef   Google Scholar

    [19] Wang SY, Singh K, Lin SC. 2012. Prevalence and predictors of depression among participants with glaucoma in a nationally representative population sample. American Journal of Ophthalmology 154:436−444.e2 doi: 10.1016/j.ajo.2012.03.039[LinkOut]

    CrossRef   Google Scholar

    [20] Yochim BP, Mueller AE, Kane KD, Kahook MY. 2012. Prevalence of cognitive impairment, depression, and anxiety symptoms among older adults with glaucoma. Journal of Glaucoma 21:250−54 doi: 10.1097/IJG.0b013e3182071b7e

    CrossRef   Google Scholar

    [21] Groff ML, Choi B, Lin T, Mcllraith I, Hutnik C, et al. 2023. Anxiety, depression, and sleep-related outcomes of glaucoma patients: systematic review and meta-analysis. Canadian Journal of Ophthalmology 58:346−55 doi: 10.1016/j.jcjo.2022.02.010

    CrossRef   Google Scholar

    [22] Zheng Y, Wu X, Lin X, Lin H. 2017. The prevalence of depression and depressive symptoms among eye disease patients: a systematic review and meta-analysis. Scientific Reports 7:46453 doi: 10.1038/srep46453

    CrossRef   Google Scholar

    [23] Berchuck S, Jammal A, Mukherjee S, Somers T, Medeiros FA. 2021. Impact of anxiety and depression on progression to glaucoma among glaucoma suspects. British Journal of Ophthalmology 105:1244−49 doi: 10.1136/bjophthalmol-2020-316617

    CrossRef   Google Scholar

    [24] Owen MJ, Sawa A, Mortensen PB. 2016. Schizophrenia. The Lancet 388:86−97 doi: 10.1016/S0140-6736(15)01121-6

    CrossRef   Google Scholar

    [25] Sullivan PF, Daly MJ, O'Donovan M. 2012. Genetic architectures of psychiatric disorders: the emerging picture and its implications. Nature Reviews Genetics 13:537−51 doi: 10.1038/nrg3240

    CrossRef   Google Scholar

    [26] O'Donovan MC, Owen MJ. 2016. The implications of the shared genetics of psychiatric disorders. Nature Medicine 22:1214−19 doi: 10.1038/nm.4196

    CrossRef   Google Scholar

    [27] Shimada-Sugimoto M, Otowa T, Hettema JM. 2015. Genetics of anxiety disorders: Genetic epidemiological and molecular studies in humans. Psychiatry and Clinical Neurosciences 69:388−401 doi: 10.1111/pcn.12291

    CrossRef   Google Scholar

    [28] Thapar A. 2018. Discoveries on the genetics of ADHD in the 21st century: new findings and their implications. The American Journal of Psychiatry 175:943−50 doi: 10.1176/appi.ajp.2018.18040383

    CrossRef   Google Scholar

    [29] Gharahkhani P, Jorgenson E, Hysi P, Khawaja AP, Pendergrass S, et al. 2021. Genome-wide meta-analysis identifies 127 open-angle glaucoma loci with consistent effect across ancestries. Nature Communications 12:1258 doi: 10.1038/s41467-020-20851-4

    CrossRef   Google Scholar

    [30] Gharahkhani P, Burdon KP, Fogarty R, Sharma S, Hewitt AW, et al. 2014. Common variants near ABCA1, AFAP1 and GMDS confer risk of primary open-angle glaucoma. Nature Genetics 46:1120−25 doi: 10.1038/ng.3079

    CrossRef   Google Scholar

    [31] Craig JE, Han X, Qassim A, Hassall M, Cooke Bailey JN, et al. 2020. Multitrait analysis of glaucoma identifies new risk loci and enables polygenic prediction of disease susceptibility and progression. Nature Genetics 52:160−66 doi: 10.1038/s41588-019-0556-y

    CrossRef   Google Scholar

    [32] Davey Smith G, Hemani G. 2014. Mendelian randomization: genetic anchors for causal inference in epidemiological studies. Human Molecular Genetics 23:R89−R98 doi: 10.1093/hmg/ddu328

    CrossRef   Google Scholar

    [33] Davies NM, Holmes MV, Davey Smith G. 2018. Reading Mendelian randomisation studies: a guide, glossary, and checklist for clinicians. BMJ 362:k601 doi: 10.1136/bmj.k601

    CrossRef   Google Scholar

    [34] Sekula P, Fabiola Greco M, Pattaro C, Köttgen A. 2016. Mendelian randomization as an approach to assess causality using observational data. Journal of the American Society of Nephrology 27:3253−65 doi: 10.1681/ASN.2016010098

    CrossRef   Google Scholar

    [35] Evans DM, Davey Smith G. 2015. Mendelian randomization: new applications in the coming age of hypothesis-free causality. Annual Review of Genomics and Human Genetics 16:327−50 doi: 10.1146/annurev-genom-090314-050016

    CrossRef   Google Scholar

    [36] Holmes MV, Ala-Korpela M, Smith GD. 2017. Mendelian randomization in cardiometabolic disease: challenges in evaluating causality. Nature Reviews Cardiology 14:577−90 doi: 10.1038/nrcardio.2017.78

    CrossRef   Google Scholar

    [37] Arsenault BJ. 2022. From the garden to the clinic: how Mendelian randomization is shaping up atherosclerotic cardiovascular disease prevention strategies. European Heart Journal 43:4447−49 doi: 10.1093/eurheartj/ehac394

    CrossRef   Google Scholar

    [38] Smith GD, Ebrahim S. 2004. Mendelian randomization: prospects, potentials, and limitations. International Journal of Epidemiology 33:30−42 doi: 10.1093/ije/dyh132

    CrossRef   Google Scholar

    [39] Hou L, Bergen SE, Akula N, Song J, Hultman CM, et al. 2016. Genome-wide association study of 40, 000 individuals identifies two novel loci associated with bipolar disorder. Human Molecular Genetics 25:3383−94 doi: 10.1093/hmg/ddw181

    CrossRef   Google Scholar

    [40] Schizophrenia Working Group of the Psychiatric Genomics Consortium. 2014. Biological insights from 108 schizophrenia-associated genetic loci. Nature 511:421−27 doi: 10.1038/nature13595

    CrossRef   Google Scholar

    [41] Demontis D, Walters RK, Martin J, Mattheisen M, Als TD, et al. 2019. Discovery of the first genome-wide significant risk loci for attention deficit/hyperactivity disorder. Nature Genetics 51:63−75 doi: 10.1038/s41588-018-0269-7

    CrossRef   Google Scholar

    [42] Kurki MI, Karjalainen J, Palta P, Sipilä TP, Kristiansson K, et al. 2023. FinnGen provides genetic insights from a well-phenotyped isolated population. Nature 613:508−18 doi: 10.1038/s41586-022-05473-8

    CrossRef   Google Scholar

    [43] Kamat MA, Blackshaw JA, Young R, Surendran P, Burgess S, et al. 2019. PhenoScanner V2: an expanded tool for searching human genotype–phenotype associations. Bioinformatics 35:4851−53 doi: 10.1093/bioinformatics/btz469

    CrossRef   Google Scholar

    [44] Burgess S, Butterworth A, Thompson SG. 2013. Mendelian randomization analysis with multiple genetic variants using summarized data. Genetic Epidemiology 37:658−65 doi: 10.1002/gepi.21758

    CrossRef   Google Scholar

    [45] Bowden J, Davey Smith G, Burgess S. 2015. Mendelian randomization with invalid instruments: effect estimation and bias detection through Egger regression. International Journal of Epidemiology 44:512−25 doi: 10.1093/ije/dyv080

    CrossRef   Google Scholar

    [46] Bowden J, Davey Smith G, Haycock PC, Burgess S. 2016. Consistent estimation in Mendelian randomization with some invalid instruments using a weighted median estimator. Genetic Epidemiology 40:304−14 doi: 10.1002/gepi.21965

    CrossRef   Google Scholar

    [47] Hartwig FP, Davey Smith G, Bowden J. 2017. Robust inference in summary data Mendelian randomization via the zero modal pleiotropy assumption. International Journal of Epidemiology 46:1985−98 doi: 10.1093/ije/dyx102

    CrossRef   Google Scholar

    [48] Fabiola Greco M, Minelli C, Sheehan NA, Thompson JR. 2015. Detecting pleiotropy in Mendelian randomisation studies with summary data and a continuous outcome. Statistics in Medicine 34:2926−40 doi: 10.1002/sim.6522

    CrossRef   Google Scholar

    [49] Verbanck M, Chen CY, Neale B, Do R. 2018. Detection of widespread horizontal pleiotropy in causal relationships inferred from Mendelian randomization between complex traits and diseases. Nature Genetics 50:693−98 doi: 10.1038/s41588-018-0099-7

    CrossRef   Google Scholar

    [50] Guo J, Yu K, Dong SS, Yao S, Rong Y, et al. 2022. Mendelian randomization analyses support causal relationships between brain imaging-derived phenotypes and risk of psychiatric disorders. Nature Neuroscience 25:1519−27 doi: 10.1038/s41593-022-01174-7

    CrossRef   Google Scholar

    [51] Yang Y, Musco H, Simpson-Yap S, Zhu Z, Wang Y, et al. 2021. Investigating the shared genetic architecture between multiple sclerosis and inflammatory bowel diseases. Nature Communications 12:5641 doi: 10.1038/s41467-021-25768-0

    CrossRef   Google Scholar

    [52] Hemani G, Zheng J, Elsworth B, Wade KH, Haberland V, et al. 2018. The MR-Base platform supports systematic causal inference across the human phenome. eLife 7:e34408 doi: 10.7554/eLife.34408

    CrossRef   Google Scholar

    [53] Soh Z, Yu M, Betzler BK, Majithia S, Thakur S, et al. 2021. The global extent of undetected glaucoma in adults: a systematic review and meta-analysis. Ophthalmology 128:1393−404 doi: 10.1016/j.ophtha.2021.04.009

    CrossRef   Google Scholar

    [54] Flaxman SR, Bourne RRA, Resnikoff S, Ackland P, Braithwaite T, et al. 2017. Global causes of blindness and distance vision impairment 1990–2020: a systematic review and meta-analysis. The Lancet Global Health 5:e1221−e1234 doi: 10.1016/S2214-109X(17)30393-5

    CrossRef   Google Scholar

    [55] Shin DY, Jung KI, Park HYL, Park CK. 2021. The effect of anxiety and depression on progression of glaucoma. Scientific Reports 11:1769 doi: 10.1038/s41598-021-81512-0

    CrossRef   Google Scholar

    [56] Silverstein SM, Choi JJ, Green KM, Bowles-Johnson KE, Ramchandran RS. 2022. Schizophrenia in translation: why the eye? Schizophrenia Bulletin 48:728−37 doi: 10.1093/schbul/sbac050

    CrossRef   Google Scholar

    [57] Appaji A, Nagendra B, Chako DM, Padmanabha A, Jacob A, et al. 2019. Examination of retinal vascular trajectory in schizophrenia and bipolar disorder. Psychiatry and Clinical Neurosciences 73:738−44 doi: 10.1111/pcn.12921

    CrossRef   Google Scholar

    [58] Adhan I, Bannai D, Lizano P. 2020. Commentary: can retinal imaging biomarkers inform psychosis pathophysiology? Schizophrenia Research 215:3−5 doi: 10.1016/j.schres.2019.10.020

    CrossRef   Google Scholar

    [59] Asanad S, O'Neill H, Addis H, Chen S, Wang J, et al. 2021. Neuroretinal biomarkers for schizophrenia spectrum disorders. Translational Vision Science & Technology 10:29 doi: 10.1167/tvst.10.4.29

    CrossRef   Google Scholar

    [60] Mitchell P, Leung H, Wang JJ, Rochtchina E, Lee AJ, et al. 2005. Retinal vessel diameter and open-angle glaucoma: the Blue Mountains Eye Study. Ophthalmology 112:245−50 doi: 10.1016/j.ophtha.2004.08.015

    CrossRef   Google Scholar

    [61] Allen JA, Yadav PN, Setola V, Farrell M, Roth BL. 2011. Schizophrenia risk gene CAV1 is both pro-psychotic and required for atypical antipsychotic drug actions in vivo. Translational Psychiatry 1:e33 doi: 10.1038/tp.2011.35

    CrossRef   Google Scholar

    [62] Walsh T, McClellan JM, McCarthy SE, Addington AM, Pierce SB, et al. 2008. Rare structural variants disrupt multiple genes in neurodevelopmental pathways in schizophrenia. Science 320:539−43 doi: 10.1126/science.1155174

    CrossRef   Google Scholar

    [63] Thorleifsson G, Walters GB, Hewitt AW, Masson G, Helgason A, et al. 2010. Common variants near CAV1 and CAV2 are associated with primary open-angle glaucoma. Nature Genetics 42:906−9 doi: 10.1038/ng.661

    CrossRef   Google Scholar

    [64] Loomis SJ, Kang JH, Weinreb RN, Yaspan BL, Cooke Bailey JN, et al. 2014. Association of CAV1/CAV2 genomic variants with primary open-angle glaucoma overall and by gender and pattern of visual field loss. Ophthalmology 121:508−16 doi: 10.1016/j.ophtha.2013.09.012

    CrossRef   Google Scholar

    [65] Park SC, De Moraes CG, Teng CCW, Tello C, Liebmann JM, et al. 2011. Initial parafoveal versus peripheral scotomas in glaucoma: risk factors and visual field characteristics. Ophthalmology 118:1782−89 doi: 10.1016/j.ophtha.2011.02.013

    CrossRef   Google Scholar

    [66] Boudriot E, Stephan M, Rabe F, Smigielski L, Schmitt A, et al. 2025. Genetic analysis of retinal cell types in neuropsychiatric disorders. JAMA Psychiatry 82:285−95 doi: 10.1001/jamapsychiatry.2024.4230

    CrossRef   Google Scholar

    [67] Wagner SK, Cortina-Borja M, Silverstein SM, Zhou Y, Romero-Bascones D, et al. 2023. Association between retinal features from multimodal imaging and schizophrenia. JAMA Psychiatry 80:478−87 doi: 10.1001/jamapsychiatry.2023.0171

    CrossRef   Google Scholar

    [68] Martínez-Pinteño A, Mezquida G, Bioque M, López-Ilundain JM, Andreu-Bernabeu Á, et al. 2022. The role of BDNF and NGF plasma levels in first-episode schizophrenia: a longitudinal study. European Neuropsychopharmacology 57:105−17 doi: 10.1016/j.euroneuro.2022.02.003

    CrossRef   Google Scholar

    [69] Galindo-Romero C, Valiente-Soriano FJ, Jiménez-López M, García-Ayuso D, Villegas-Pérez MP, et al. 2013. Effect of brain-derived neurotrophic factor on mouse axotomized retinal ganglion cells and phagocytic microglia. Investigative Ophthalmology & Visual Science 54:974−85 doi: 10.1167/iovs.12-11207

    CrossRef   Google Scholar

    [70] Zhang J, Chen X, Zhu Y, Wan S, Hu S, Yang Y. 2024. Investigating the causal relationship between sleep behaviors and primary open-angle glaucoma: a bidirectional two-sample Mendelian randomization study. Nature and Science of Sleep 16:143−53 doi: 10.2147/NSS.S439274

    CrossRef   Google Scholar

    [71] Kimmel PL, Thamer M, Richard CM, Ray NF. 1998. Psychiatric illness in patients with end-stage renal disease. The American Journal of Medicine 105:214−21 doi: 10.1016/S0002-9343(98)00245-9

    CrossRef   Google Scholar

    [72] Clarke DM, Currie KC. 2009. Depression, anxiety and their relationship with chronic diseases: a review of the epidemiology, risk and treatment evidence. The Medical Journal of Australia 190:S54−S60 doi: 10.5694/j.1326-5377.2009.tb02274.x

    CrossRef   Google Scholar

    [73] Warrian KJ, Spaeth GL, Lankaranian D, Lopes JF, Steinmann WC. 2009. The effect of personality on measures of quality of life related to vision in glaucoma patients. British Journal of Ophthalmology 93:310−15 doi: 10.1136/bjo.2008.139592

    CrossRef   Google Scholar

    [74] Wilson MR, Coleman AL, Yu F, Fong Sasaki I, Bing EG, et al. 2002. Depression in patients with glaucoma as measured by self-report surveys. Ophthalmology 109:1018−22 doi: 10.1016/S0161-6420(02)00993-4

    CrossRef   Google Scholar

    [75] Tueth MJ. 1994. Emergencies caused by side effects of psychiatric medications. The American Journal of Emergency Medicine 12:212−16 doi: 10.1016/0735-6757(94)90248-8

    CrossRef   Google Scholar

    [76] Ciobanu AM, Dionisie V, Neagu C, Bolog OM, Riga S, et al. 2021. Psychopharmacological treatment, intraocular pressure and the risk of glaucoma: a review of literature. Journal of Clinical Medicine 10:2947 doi: 10.3390/jcm10132947

    CrossRef   Google Scholar

  • Cite this article

    Zheng C, Zeng R, Wu G, Hu Y, Yu H. 2025. Investigating causal associations between the genetic liability to primary open-angle glaucoma and psychiatric disorders. Visual Neuroscience 42: e017 doi: 10.48130/vns-0025-0016
    Zheng C, Zeng R, Wu G, Hu Y, Yu H. 2025. Investigating causal associations between the genetic liability to primary open-angle glaucoma and psychiatric disorders. Visual Neuroscience 42: e017 doi: 10.48130/vns-0025-0016

Figures(3)  /  Tables(4)

Article Metrics

Article views(2628) PDF downloads(665)

ARTICLE   Open Access    

Investigating causal associations between the genetic liability to primary open-angle glaucoma and psychiatric disorders

Visual Neuroscience  42 Article number: e017  (2025)  |  Cite this article

Abstract: Current observational evidence on psychiatric diseases and primary open-angle glaucoma (POAG) is controversial. Our study aims to evaluate the putative causal associations between the genetic liability to psychiatric disorders and POAG, and add updated evidence to their linkage. Summary statistics of genome-wide association studies (GWASs) involving 192,702 participants (15,229 cases and 177,473 controls) were used for POAG. Large-scale GWAS summary datasets for psychiatric disorders of interest were also collected. Bi-directional two-sample Mendelian randomization analyses were performed, and sensitivity analyses were conducted to evaluate the robustness of our results. Genetically predicted POAG was causally associated with a slightly increased risk of schizophrenia (odds ratio [OR] = 1.035, 95% confidence interval [CI]: 1.009−1.062, p = 0.008). No evidence of causality was found for POAG and other selected psychiatric disorders (OR = 1.022, 95% CI: 0.988−1.056, p = 0.214 for attention deficit hyperactivity disorder; OR = 1.016, 95% CI: 0.984−1.049, p = 0.325 for anxiety disorder; OR = 1.040, 95% CI: 0.987−1.097, p = 0.143 for bipolar disorder; OR = 0.992, 95% CI: 0.967−1.017, p = 0.526 for depressive disorder) and vice versa. Our findings indicate the mild causal effect of a genetic predisposition to POAG on schizophrenia, and the effects on other psychiatric disorders are not significant. Optimized strategies for their observed comorbidity should be further developed in clinical practice.

    • Psychiatric disorders have become highly important health issues for society and people worldwide[1,2]. According to the Global Burden of Disease Study, psychiatric disorders are reported to be strongly associated with premature mortality and serve as the consistent leading causes of lifelong disability[1,3,4]. Glaucoma, as a typical neurodegenerative disease, is a leading cause of irreversible blindness, with a sharply increasing global prevalence, which is projected to affect over 110 million people in 2040[5,6]. Primary open-angle glaucoma (POAG), which is largely influenced by genetic factors, is known to be the most common subtype of glaucoma and threatens the visual health of over 44 million individuals worldwide[79]. Both of the diseases impede the independence of individuals, which are gradually considered serious public health problems.

      Emerging studies have demonstrated the comorbidity of psychiatric disorders and glaucoma. As a chronic and progressive disease characterized by vision impairment, glaucoma, especially POAG, is reported to impose negative emotional impacts on patients and even force them into psychological disturbances[1013]. Patients with POAG are found to have different personality profiles and temperaments compared with healthy people[13]. Plenty of studies have reported that patients with glaucoma are prone to suffer from various types of psychiatric disorders. A high prevalence of glaucoma is found in severely mentally ill patients, especially those with schizophrenia[14,15]. The results are also supported by another population-based study, which shows that glaucoma, especially POAG, is associated with an increased risk of schizophrenia, bipolar disorder, and depressive disorder[16]. Furthermore, previous studies also indicate that the frequency of having anxiety and depression episodes is higher in patients with POAG and other subtypes of glaucoma[1720]. A recent meta-analysis verifies that patients with glaucoma experience a higher prevalence and severity of depression, anxiety, and other psychological conditions[21]. Another meta-analysis also finds that the prevalence of depression is 25% among patients with glaucoma[22]. In reverse, a history of psychiatric disorders will exacerbate the development of glaucoma, suggesting that psychological disturbances would worsen glaucoma progression[23].

      These interesting findings of observational studies have brought the potential role of glaucoma in the development of psychiatric disorders into the spotlight. Although some of them indicate a certain amount of pathophysiological and psychosocial risk factors, the insidious development of psychiatric disorders and glaucoma makes it difficult to recognize and prevent them in a timely manner. In addition, the previous observational findings might be biased by potential confounders. A positive clinical association means only an epidemiological comorbidity, while whether there is a causal relationship remains unexplored. As we already noted, there remain considerable limitations of the explanatory power of the observational results; therefore, a major breakthrough for current research will be to investigate the relevance of the potential risk exposures to the causation of these diseases using an innovative approach[24].

      Through recent advances in genetics, psychiatric disorders and POAG were found to be highly polygenic and with an extensive biological pleiotropy[2431]. The polygenic bases and the advances of genetic technologies provide an opportunity to explore their potential causal relationship at a number of both genetic and epidemiological levels. In the absence of convincing randomized controlled trials, Mendelian randomization is considered an alternative to estimate the causal association between two traits[3236]. Based on the principle that genetic variants are randomly assigned, Mendelian randomization analysis can minimize the influences of confounding factors and reverse causality, which are considered to be limitations of observational epidemiological studies[37,38]. Therefore, a Mendelian randomization study estimating the potential causal relationship between psychiatric disorders and POAG is warranted.

      In this study, we performed bi-directional two-sample Mendelian randomization analyses to evaluate the potential causal associations between a genetic liability to psychiatric disorders and glaucoma. By investigating the genetic causality, we aimed to provide new insights into the observed comorbidity in previous studies, serving as new evidence for early-stage prevention and diagnosis of psychiatric disorders and glaucoma.

    • Summary statistics of genome-wide association studies (GWASs) of the selected psychiatric disorders (i.e., schizophrenia, attention deficit/hyperactivity disorder [ADHD], anxiety disorder, bipolar disorder, and depressive disorder) and POAG were collected (Supplementary Table S1)[29,3942]. Genetic information on schizophrenia was obtained from the GWAS summary statistics released by the Schizophrenia Working Group of the Psychiatric Genomics Consortium (PGC), which consisted of 15,358,497 single-nucleotide polymorphisms (SNPs) from 33,640 cases and 43,456 controls[40]. The GWAS summary-level dataset of ADHD was also obtained from the PGC, which contained 8,047,420 SNPs derived from 20,183 cases and 35,191 controls[41]. For anxiety disorder, summary statistics were acquired from FinnGen, including 12,513 cases and 198,110 controls[42]. The GWAS summary statistics for bipolar disorder were derived from a GWAS meta-analysis, which contained 9,483,147 SNPs, 7,647 cases, and 27,303 controls[39] The GWAS dataset for depressive disorder was sourced from FinnGen, which was based on 16,380,457 SNPs and consisted of 23,424 cases and 192,220 controls[42]. The summary statistics of the POAG discovery dataset were obtained from a GWAS meta-analysis, which included 15,229 cases and 177,473 controls[29]. Furthermore, an independent replication cohort (FinnGen, including 3,412 cases and 210,201 controls) was accessed and analyzed to confirm the findings in the discovery dataset when there was a positive result[42].

      Detailed information about the study designs, including sample collection, quality control, and method imputation, was reported in each publication and was manually checked to avoid sample overlap[29,3942]. All analyses in our study were conducted using publicly accessible, de-identified, and summary-level data; therefore, no additional ethical approval or informed consent was required.

    • A workflow of the general Mendelian randomization analysis process of this study is shown in Fig. 1. After collecting the abovementioned GWAS datasets for POAG and the five selected psychiatric disorders, we then selected SNPs as independent genetic instrumental variables (IVs) of exposure from them.

      Figure 1. 

      Workflow figure of the bi-directional two-sample Mendelian randomization analysis process of this study. β and β' are the beta coefficients for the corresponding estimated causal effects.

      The IVs for the five psychiatric disorders and POAG were selected using the same criteria. The IVs were extracted on the basis of the arbitrary p-value cut-off. All relevant SNPs at the GWAS significance threshold (p < 5 × 10−6) were selected from each trait with the aim of obtaining more IVs. Thereafter, all the selected SNPs were clumped by linkage disequilibrium with an r2 threshold of < 0.001 and a 10-Mb window to ensure that the IVs for the exposure datasets were independent. PhenoScanner V2 database (http://phenoscanner.medschl.cam.ac.uk) was applied to avoid potential confounding by calculating each IV and its proxies (r2 > 0.8)[43]. SNPs with indirect linkage disequilibrium effects (r2 > 0.8) were excluded to prevent association with the outcome. All the IVs selected needed to meet the following assumptions: (1) SNPs, as IVs, are strongly associated with the exposure. The F-statistic for each SNP was calculated as F = (beta_exposure/se_exposure)2, and the instrument strength > 10 was considered sufficient for analysis; (2) IVs are not associated with any confounding factors; (3) IVs are not directly associated with outcome (no horizontal pleiotropy)[44].

    • For the analysis of the causal relationship between POAG and the five common psychiatric disorders, bi-directional two-sample Mendelian randomization analysis was employed in our study. Mendelian randomization analysis was conducted first in one direction to investigate whether POAG has a genetically causal association with five common psychiatric disorders (schizophrenia, ADHD, anxiety disorder, bipolar disorder, and depressive disorder). Thereafter, Mendelian randomization analysis in the opposite direction was conducted to assess the reverse causality of these five common psychiatric disorders on POAG.

      Inverse variance weighted (IVW) regression with multiplicative random effects method was adopted as the primary causal inference, since the IVW method provides robust causal estimations of the two traits and is most widely used in Mendelian randomization analyses[44]. Meanwhile, three alternative Mendelian randomization methods, including the Mendelian randomization–Egger (MR-Egger), the weighted median, and the weighted mode methods, were additionally performed in our analyses to complement and improve the reliability of the IVW results. The MR-Egger method uses the slope coefficient of the Egger regression to show the causal effect, which could provide a more robust estimation when there are no invalid IVs[45]. The weighted median method can even identify a positive causal estimation when up to 50% of IVs are invalid[46]. The weighted mode method estimates the evidence of causality by classifying the IVs into groups, which relaxes the assumptions of Mendelian randomization and is able to identify the causality even with a majority of invalid IVs[47]. The Mendelian randomization results aRE all reported as odds ratios (OR) with 95% confidence intervals (CIs), which were interpreted as the estimated causal effect per standard deviation (1 SD) of change in exposure on the outcome risk.

    • For validation of our putative causal association between POAG and the five common psychiatric disorders, sensitivity analyses were performed for IV quality control based on the results of Mendelian randomization.

      Although the IVW method is generally recognized as a better method of causal inference, the validity of these Mendelian randomization results would be reliable only when all of the IVs are without heterogeneity and horizontal pleiotropy[47]. Therefore, for the traits with an IVW with p < 0.05 and IVs > 2, we performed heterogeneity tests using Cochran's Q test and the I2 index to detect the outlier IVs and adjust them[48]. The presence of heterogeneity was considered when p < 0.05 in Cochran's Q test and I2 index > 50%. The detected outliers were then discarded from the analyses.

      Meanwhile, the Mendelian randomization pleiotropy residual sum and outlier (MR-PRESSO) global test and the MR-Egger regression test were performed to detect the presence of any horizontal and directional pleiotropy, respectively[45,49]. The MR-PRESSO method indicates the potential pleiotropic outliers through a correction test. Therefore, to reduce the effect of horizontal pleiotropy, potential pleiotropic outlier IVs detected by the MR-PRESSO outlier test would undergo stepwise removal. While in MR-Egger regression test results, the intercept was used to show the mean pleiotropic effects. The presence of pleiotropy was indicated by the MR-Egger regression method, and the IVW results were invalid at p < 0.05. In addition, leave-one-out analysis was also executed for traits with multiple IVs to check whether the reported causality was obviously driven by a single IV. Similarly, the indicated outlier IVs were detected to improve the results of Mendelian randomization. A value with p < 0.05 was considered as an outlier and removed from the analyses.

    • After investigating the causal association between POAG and the five common psychiatric disorders separately, we explored the reverse causality by extending the MR analysis above to bi-directional causal inference. As mentioned above, forward Mendelian randomization analyses were conducted by using POAG as the exposure and the psychiatric disorders as the outcomes. Conversely, the reverse Mendelian randomization analyses used individual psychiatric disorders as the exposure and POAG as the outcome to explore the potential causal association between POAG and psychiatric disorders. The standards of the parameters and the Mendelian randomization methods were set the same for the forward and reverse analyses, as well as the discovery and replication datasets.

      A causality between the exposure and the outcome was accepted when the IVW result was significant and one of the following conditions was satisfied: (1) no heterogeneity was detected when the causal effects of the MR-Egger, weighted median, and weighted mode methods were in the same direction; (2) heterogeneity was detected but corrected by the MR-PRESSO global test (< 50% of IVs were considered as outliers); or (3) heterogeneity was detected and > 50% of the outliers were detected by MR-PRESSO global test, but the causal effects of the MR-Egger, weighted median, and weighted mode methods were significant and in the same direction[4951].

      A p-value of < 0.01 after Bonferroni correction was considered statistically significant, and a p-value between 0.01 and 0.05 was considered suggestively significant in our Mendelian randomization analyses. All two-sample Mendelian randomization analyses were performed using the TwoSampleMR R package in the R software (version 4.1.1)[52].

    • The GWAS summary statistics on the selected psychiatric disorders and POAG used in our study were carefully compared for database quality control. We manually checked the sample description of every GWAS summary dataset to make sure that the samples of the exposure were different from those of the outcome. Therefore, our Mendelian randomization results were unlikely to be influenced by sample overlap between each exposure–outcome pair. The list of IVs used for the Mendelian randomization analyses of POAG on psychiatric disorders of interest in this study is provided in Table 1.

      Table 1.  Detailed information of SNPs in the Mendelian randomization analysis of POAG and the psychiatric disorders of interest.

      SNP Chr Location Association with SCZ Association with ADHD Association with AD Association with BD Association with DD
      β SE p β SE p β SE p β SE p β SE p
      rs10151220 14 34715465 / / / −0.204 0.182 0.262 / / / 0.198 0.295 0.501 / / /
      rs10160502 11 45376816 −0.030 0.146 0.838 −0.368 0.169 0.029 / / / −0.405 0.301 0.179 / / /
      rs10248136 7 39077397 −0.146 0.123 0.236 −0.120 0.152 0.430 −0.074 0.162 0.647 −0.283 0.255 0.266 −0.137 0.124 0.271
      rs10268299 7 48105158 −0.261 0.171 0.126 −0.386 0.212 0.068 0.295 0.238 0.216 −0.542 0.343 0.114 0.079 0.183 0.667
      rs10448285 9 129397014 0.064 0.096 0.505 −0.231 0.121 0.056 −0.197 0.124 0.110 −0.087 0.201 0.666 0.018 0.095 0.853
      rs10517281 4 54027595 −0.062 0.139 0.653 −0.010 0.165 0.951 0.163 0.164 0.320 −0.067 0.288 0.817 −0.144 0.126 0.253
      rs10800155 1 165723770 0.058 0.057 0.309 0.097 0.073 0.180 −0.025 0.063 0.684 −0.118 0.117 0.313 0.003 0.048 0.954
      rs10906230 10 12851181 −0.030 0.169 0.861 −0.101 0.208 0.627 0.021 0.223 0.926 0.001 0.346 0.997 −0.284 0.171 0.097
      rs109467 7 83278893 0.125 0.136 0.357 0.024 0.167 0.885 0.130 0.173 0.453 −0.800 0.277 0.004 0.188 0.134 0.160
      rs1139795 22 19867771 0.074 0.106 0.487 0.130 0.133 0.330 −0.080 0.171 0.639 −0.011 0.213 0.961 / / /
      rs113985657 6 597203 −0.053 0.146 0.718 −0.152 0.168 0.367 0.020 0.171 0.905 −0.096 0.285 0.736 0.153 0.131 0.245
      rs114367221 16 51601948 −0.155 0.138 0.262 / / / / / / −0.279 0.271 0.304 / / /
      rs11606709 11 46730522 0.566 0.169 0.001 0.034 0.201 0.867 0.017 0.222 0.939 0.310 0.341 0.363 −0.277 0.171 0.106
      rs11658334 17 58830188 0.229 0.148 0.121 −0.336 0.183 0.067 0.032 0.193 0.868 0.094 0.304 0.757 −0.159 0.148 0.283
      rs11694522 2 228085471 −0.068 0.168 0.683 0.003 0.205 0.990 −0.070 0.201 0.729 −0.083 0.351 0.813 0.039 0.155 0.803
      rs117907084 8 8094540 −0.268 0.196 0.173 / / / 0.219 0.154 0.157 −0.359 0.426 0.400 0.069 0.118 0.561
      rs11968883 6 158971411 0.053 0.152 0.730 0.000 0.191 1.000 −0.482 0.197 0.014 −0.337 0.316 0.287 −0.159 0.151 0.291
      rs12133258 1 247990141 −0.098 0.159 0.537 0.012 0.196 0.950 / / / 0.069 0.321 0.831 / / /
      rs12208086 6 36586070 0.181 0.120 0.132 0.003 0.151 0.985 0.274 0.145 0.059 0.015 0.246 0.952 0.030 0.112 0.785
      rs12238998 1 92052303 0.003 0.159 0.986 −0.108 0.198 0.587 −0.258 0.218 0.237 0.255 0.322 0.428 0.126 0.169 0.455
      rs12421242 11 102066240 −0.022 0.155 0.889 0.069 0.188 0.716 0.089 0.199 0.656 0.170 0.314 0.589 0.043 0.153 0.779
      rs12540035 7 116159526 −0.085 0.113 0.449 0.151 0.139 0.280 −0.028 0.183 0.877 0.068 0.227 0.764 −0.075 0.141 0.594
      rs12548263 8 124498734 0.247 0.174 0.156 / / / −0.219 0.230 0.341 1.046 0.357 0.003 −0.001 0.177 0.994
      rs12969002 18 11724979 0.411 0.161 0.011 0.060 0.197 0.761 −0.116 0.216 0.591 0.027 0.336 0.937 0.029 0.165 0.859
      rs13022278 2 35862610 0.169 0.181 0.351 0.041 0.177 0.816 −0.329 0.225 0.143 0.184 0.299 0.539 −0.232 0.172 0.179
      rs13085037 3 124312984 −0.005 0.163 0.977 0.299 0.200 0.135 0.060 0.186 0.749 0.182 0.337 0.589 −0.050 0.143 0.726
      rs1385069 6 134374204 0.194 0.154 0.210 0.076 0.195 0.698 0.032 0.201 0.872 −0.020 0.314 0.950 0.365 0.154 0.018
      rs1422174 5 92194417 −0.019 0.171 0.909 / / / −0.093 0.289 0.748 −0.579 0.386 0.133 0.065 0.221 0.770
      rs145556337 2 200444431 0.118 0.133 0.372 / / / 0.030 0.171 0.862 0.092 0.362 0.800 0.217 0.131 0.097
      rs150372522 18 65972342 0.179 0.168 0.285 −0.077 0.204 0.705 −0.201 0.251 0.425 −0.060 0.335 0.859 −0.235 0.194 0.227
      rs1577488 1 101078400 −0.044 0.129 0.733 −0.025 0.163 0.879 0.259 0.150 0.085 0.096 0.265 0.718 −0.018 0.116 0.878
      rs1649068 10 60304864 0.158 0.103 0.123 0.289 0.125 0.021 0.072 0.135 0.595 0.089 0.208 0.671 0.048 0.104 0.643
      rs17125973 14 53415359 0.114 0.168 0.498 0.283 0.204 0.164 0.192 0.231 0.405 0.293 0.345 0.395 0.034 0.177 0.847
      rs1743080 14 92020604 0.061 0.151 0.684 −0.008 0.184 0.967 −0.242 0.216 0.261 0.814 0.304 0.007 0.029 0.166 0.860
      rs17527016 4 111963719 −0.133 0.125 0.287 / / / 0.123 0.147 0.404 0.113 0.237 0.633 −0.076 0.113 0.500
      rs190835765 4 38483655 0.019 0.133 0.889 / / / 0.323 0.133 0.015 0.311 0.259 0.230 0.076 0.102 0.453
      rs2027312 9 129920463 −0.094 0.132 0.474 0.077 0.161 0.630 0.082 0.178 0.644 −0.038 0.266 0.888 0.153 0.137 0.265
      rs2113818 2 12890860 0.255 0.155 0.101 −0.172 0.189 0.363 0.236 0.205 0.249 0.124 0.317 0.696 0.054 0.158 0.732
      rs2207441 6 164325217 −0.127 0.154 0.410 0.305 0.189 0.107 0.023 0.193 0.905 −0.200 0.322 0.535 −0.246 0.148 0.097
      rs2439386 15 67025403 −0.072 0.164 0.662 0.340 0.200 0.090 0.035 0.224 0.877 −0.101 0.345 0.770 −0.010 0.171 0.955
      rs2472494 9 107695539 0.104 0.059 0.076 −0.026 0.074 0.724 0.031 0.078 0.695 −0.019 0.118 0.872 −0.044 0.060 0.463
      rs2514879 8 108273318 −0.172 0.135 0.203 −0.014 0.162 0.929 −0.236 0.176 0.178 0.352 0.273 0.197 0.089 0.135 0.508
      rs2526100 7 11677778 −0.010 0.159 0.952 −0.091 0.190 0.631 −0.147 0.212 0.489 0.190 0.324 0.558 −0.223 0.163 0.171
      rs257336 16 65055840 −0.210 0.132 0.112 0.115 0.161 0.476 / / / 0.656 0.270 0.015 / / /
      rs2579998 6 51477322 0.021 0.084 0.803 0.157 0.101 0.121 0.143 0.104 0.172 0.087 0.173 0.616 0.189 0.080 0.018
      rs2667477 12 84023388 0.120 0.101 0.234 −0.137 0.123 0.266 −0.008 0.140 0.953 0.393 0.204 0.054 −0.111 0.108 0.305
      rs2735114 6 29910034 0.568 0.196 0.004 −0.006 0.166 0.970 −0.075 0.181 0.679 0.422 0.278 0.128 0.227 0.138 0.101
      rs28497695 15 57023951 0.284 0.126 0.025 / / / −0.157 0.164 0.337 0.481 0.254 0.058 −0.273 0.125 0.030
      rs286487 10 90030119 −0.082 0.165 0.620 0.284 0.198 0.151 0.001 0.224 0.995 −0.091 0.338 0.787 −0.136 0.172 0.427
      rs2875238 11 130282078 −0.033 0.158 0.832 −0.057 0.211 0.785 −0.107 0.203 0.599 0.206 0.319 0.519 −0.151 0.156 0.334
      rs31916 5 14814883 0.150 0.171 0.381 0.064 0.208 0.758 −0.021 0.227 0.925 −0.422 0.355 0.235 0.013 0.174 0.941
      rs33155 12 30985442 / / / −0.245 0.179 0.170 0.280 0.182 0.125 −0.132 0.304 0.663 0.249 0.140 0.077
      rs33912345 14 60976537 / / / / / / 0.145 0.088 0.099 0.016 0.127 0.901 −0.007 0.067 0.920
      rs34163217 1 178586984 0.080 0.173 0.643 −0.001 0.205 0.995 −0.275 0.233 0.238 −0.591 0.350 0.092 0.239 0.180 0.182
      rs34508066 3 66837509 0.126 0.157 0.423 0.130 0.196 0.506 0.104 0.215 0.630 −0.128 0.322 0.691 −0.091 0.165 0.580
      rs35592623 8 120702717 0.048 0.177 0.788 0.042 0.225 0.850 0.313 0.222 0.159 0.069 0.374 0.854 0.253 0.171 0.138
      rs35666652 11 86491772 −0.141 0.163 0.385 −0.050 0.199 0.802 0.416 0.227 0.068 0.379 0.336 0.259 / / /
      rs3825942 15 74219582 / / / −0.275 0.150 0.066 0.114 0.153 0.455 0.075 0.251 0.766 0.183 0.117 0.120
      rs3909355 5 120654808 −0.148 0.176 0.399 −0.056 0.215 0.794 −0.502 0.203 0.014 −0.151 0.362 0.676 −0.346 0.156 0.026
      rs4076000 1 68837169 / / / 0.058 0.188 0.757 0.003 0.197 0.989 0.348 0.310 0.263 0.112 0.152 0.462
      rs41283694 10 60156574 0.218 0.171 0.202 0.055 0.226 0.807 −0.127 0.450 0.777 0.836 0.327 0.011 0.329 0.350 0.347
      rs4142696 12 26800201 −0.153 0.172 0.374 0.107 0.210 0.611 −0.271 0.203 0.181 0.049 0.352 0.890 −0.158 0.155 0.310
      rs41543317 17 44087500 / / / 0.142 0.167 0.395 0.039 0.169 0.817 −0.142 0.275 0.605 0.001 0.130 0.993
      rs4307771 2 213723819 −0.067 0.154 0.666 / / / 0.323 0.238 0.175 −0.380 0.325 0.242 0.305 0.183 0.096
      rs4414666 2 66537344 0.098 0.152 0.518 0.097 0.187 0.605 −0.057 0.202 0.779 0.425 0.319 0.182 −0.188 0.155 0.223
      rs4441044 11 69500363 −0.016 0.158 0.918 −0.158 0.194 0.416 −0.152 0.220 0.488 0.229 0.319 0.473 −0.205 0.168 0.224
      rs4612174 6 136462744 −0.020 0.097 0.837 −0.142 0.121 0.241 −0.051 0.124 0.680 0.144 0.200 0.472 −0.103 0.095 0.279
      rs4652964 1 38078300 −0.226 0.157 0.150 −0.300 0.190 0.113 −0.203 0.208 0.331 0.270 0.319 0.397 −0.322 0.159 0.044
      rs4653159 1 36579215 / / / 0.298 0.156 0.056 −0.057 0.167 0.733 0.102 0.270 0.707 −0.004 0.128 0.977
      rs4775427 15 61951235 0.126 0.145 0.383 0.148 0.176 0.400 −0.214 0.189 0.257 0.088 0.297 0.767 0.125 0.145 0.388
      rs4842316 12 79974565 −0.180 0.157 0.252 −0.251 0.192 0.191 −0.007 0.220 0.976 0.602 0.318 0.058 −0.129 0.169 0.446
      rs55882252 2 153361700 0.131 0.110 0.237 0.159 0.136 0.241 0.033 0.144 0.816 0.067 0.224 0.765 −0.079 0.110 0.474
      rs56233426 3 186128816 0.089 0.109 0.416 0.116 0.157 0.462 −0.061 0.138 0.660 0.284 0.224 0.204 / / /
      rs565066 11 56871325 −0.218 0.160 0.172 0.123 0.195 0.528 −0.057 0.228 0.803 0.269 0.324 0.405 −0.230 0.176 0.191
      rs5750494 22 38176979 0.072 0.156 0.646 0.474 0.191 0.013 0.072 0.199 0.718 0.236 0.312 0.449 0.007 0.153 0.964
      rs58073046 11 120248493 0.202 0.103 0.050 0.245 0.121 0.043 0.186 0.131 0.155 0.374 0.207 0.071 −0.061 0.101 0.543
      rs58265464 5 149408929 0.065 0.147 0.658 0.243 0.188 0.197 / / / 0.288 0.298 0.334 / / /
      rs6117318 20 6507717 −0.115 0.127 0.363 0.144 0.151 0.343 / / / 0.134 0.253 0.595 / / /
      rs62283811 3 171820890 0.168 0.143 0.239 −0.201 0.181 0.265 0.043 0.167 0.797 −0.012 0.370 0.975 0.026 0.128 0.842
      rs6475604 9 22052734 −0.005 0.042 0.913 0.008 0.051 0.882 −0.012 0.054 0.824 0.115 0.085 0.177 0.019 0.042 0.656
      rs6490697 13 22679011 −0.003 0.119 0.978 0.007 0.144 0.963 0.083 0.144 0.563 −0.096 0.248 0.699 −0.154 0.111 0.167
      rs6519133 22 39096602 0.099 0.154 0.523 −0.308 0.205 0.134 0.112 0.193 0.562 0.312 0.310 0.315 −0.189 0.148 0.201
      rs6602453 10 10840849 0.246 0.145 0.089 0.242 0.177 0.172 −0.067 0.196 0.731 −0.026 0.293 0.929 −0.140 0.150 0.351
      rs6729430 2 11934756 −0.096 0.210 0.649 / / / / / / 0.388 0.314 0.217 / / /
      rs6845653 4 7899379 0.027 0.067 0.688 0.130 0.084 0.122 −0.046 0.085 0.589 0.040 0.138 0.771 −0.055 0.065 0.400
      rs686768 11 86361508 0.173 0.129 0.180 −0.259 0.157 0.099 0.195 0.163 0.231 −0.041 0.268 0.879 0.120 0.126 0.338
      rs687914 2 45878760 / / / −0.090 0.212 0.672 −0.061 0.241 0.802 −0.426 0.338 0.207 0.156 0.185 0.399
      rs6920127 6 92582660 −0.047 0.172 0.785 −0.063 0.210 0.765 −0.024 0.223 0.916 −0.375 0.353 0.288 −0.108 0.171 0.527
      rs6951875 7 103632175 / / / −0.280 0.223 0.209 −0.029 0.227 0.900 −0.341 0.360 0.344 0.038 0.174 0.827
      rs7099316 10 126469005 0.017 0.152 0.912 0.402 0.184 0.029 0.120 0.201 0.550 0.474 0.309 0.126 −0.153 0.155 0.322
      rs7137828 12 111932800 −0.006 0.116 0.957 0.136 0.144 0.346 0.009 0.150 0.950 0.203 0.234 0.386 −0.050 0.116 0.665
      rs72637444 13 97876689 0.149 0.192 0.436 −0.159 0.222 0.472 0.080 0.232 0.729 −0.413 0.372 0.268 −0.021 0.179 0.909
      rs7275118 20 18010447 0.155 0.155 0.317 −0.214 0.197 0.276 −0.028 0.197 0.886 −0.407 0.321 0.204 −0.111 0.151 0.464
      rs73071655 20 1121939 −0.082 0.173 0.636 0.027 0.217 0.901 0.685 0.243 0.005 0.154 0.354 0.663 0.105 0.187 0.574
      rs735379 2 34257592 −0.213 0.173 0.219 −0.192 0.214 0.369 0.089 0.228 0.697 0.337 0.361 0.350 0.011 0.175 0.948
      rs754634 14 75097431 0.070 0.174 0.686 0.053 0.214 0.805 0.233 0.226 0.304 −0.016 0.354 0.964 0.144 0.174 0.409
      rs7739648 6 1540483 0.167 0.091 0.067 −0.174 0.110 0.116 0.054 0.116 0.639 −0.242 0.186 0.193 −0.092 0.089 0.300
      rs782610 2 55935395 −0.142 0.155 0.359 0.330 0.189 0.080 −0.353 0.231 0.126 −0.254 0.315 0.420 −0.082 0.177 0.645
      rs78914827 5 133415082 −0.023 0.153 0.880 −0.066 0.183 0.718 0.026 0.226 0.907 −0.321 0.317 0.312 −0.104 0.173 0.549
      rs7946009 11 128387422 0.083 0.155 0.593 0.086 0.192 0.655 0.061 0.200 0.760 −0.393 0.315 0.213 0.102 0.154 0.507
      rs7969703 12 18218609 0.097 0.176 0.581 0.298 0.210 0.155 0.163 0.192 0.396 −0.191 0.368 0.604 0.154 0.148 0.297
      rs929218 7 117653665 −0.186 0.151 0.218 0.156 0.186 0.401 −0.538 0.194 0.005 −0.802 0.304 0.008 −0.120 0.150 0.424
      rs9470997 6 39166247 0.165 0.157 0.294 0.235 0.193 0.224 0.124 0.205 0.544 0.769 0.330 0.020 −0.048 0.157 0.762
      rs9544017 13 76247179 −0.099 0.135 0.463 −0.296 0.166 0.074 0.309 0.176 0.078 0.104 0.272 0.703 0.163 0.135 0.226
      rs9819278 3 85144350 0.033 0.121 0.785 0.260 0.150 0.083 0.065 0.156 0.676 −0.363 0.249 0.145 0.029 0.120 0.811
      rs9913911 17 10031183 0.024 0.074 0.745 −0.024 0.094 0.799 0.025 0.096 0.791 −0.064 0.159 0.689 0.117 0.074 0.111
      rs993471 1 103385373 / / / 0.059 0.158 0.711 −0.449 0.176 0.011 −0.537 0.265 0.043 −0.277 0.135 0.040
      All - Inverse variance weighted 0.035 0.013 0.008 0.021 0.017 0.214 0.016 0.016 0.325 0.040 0.027 0.143 −0.008 0.013 0.526
      All - MR Egger 0.047 0.034 0.172 0.019 0.047 0.686 0.077 0.042 0.069 0.054 0.072 0.458 0.046 0.033 0.165
      ADHD, attention deficit/hyperactivity disorder; AD, anxiety disorder; BD, bipolar disorder; Chr, chromosome; DD, depressive disorder; POAG, primary open-angle glaucoma; SCZ, schizophrenia; SE, standard error; SNP, single-nucleotide polymorphism.
    • According to the current epidemiological findings on glaucoma and psychiatric disorders, glaucoma patients are prone to developing psychiatric disorders during disease progression. As such, we first performed the forward Mendelian randomization analysis of POAG on each psychiatric disorder of interest to investigate the causality. The summarized results of all forward Mendelian randomization analyses are shown in Table 2, Fig. 2, and Supplementary Fig. S1. More detailed information on the forward Mendelian randomization analyses, such as the results of the assessment of heterogeneity, as well as the MR-Egger regression test and the MR-PRESSO outlier test, is provided in Table 2 and Table 3.

      Table 2.  Mendelian randomization analysis for the causal effects of POAG on psychiatric disorders of interest.

      Exposure Outcome Method SNPs Mendelian randomization Heterogeneity
      OR LL UL p Q Q_p
      POAG SCZ IVW 97 1.035 1.009 1.062 0.008 101.545 0.330
      MR-Egger 97 1.048 0.980 1.121 0.172 101.383 0.308
      Weighted median 97 1.026 0.986 1.067 0.214
      Weighted mode 97 1.028 0.973 1.087 0.328
      MR PRESSO 97 1.035 1.009 1.062 0.008
      ADHD IVW 96 1.022 0.988 1.056 0.214 113.915 0.090
      MR-Egger 96 1.019 0.930 1.117 0.686 113.911 0.079
      Weighted median 96 1.009 0.957 1.065 0.732
      Weighted mode 96 1.028 0.948 1.115 0.505
      MRPRESSO 96 1.022 0.988 1.056 0.214
      AD IVW 99 1.016 0.984 1.049 0.325 103.610 0.330
      MR-Egger 99 1.080 0.995 1.171 0.069 101.019 0.370
      Weighted median 99 1.020 0.970 1.073 0.443
      Weighted mode 99 1.000 0.935 1.070 0.994
      MR-PRESSO 99 1.016 0.984 1.049 0.325
      BD IVW 107 1.040 0.987 1.097 0.143 128.276 0.070
      MR-Egger 107 1.055 0.916 1.215 0.458 128.222 0.061
      Weighted median 107 1.048 0.972 1.129 0.222
      Weighted mode 107 1.048 0.938 1.171 0.407
      MR-PRESSO 107 1.040 0.987 1.097 0.143
      DD IVW 96 0.992 0.967 1.017 0.526 104.871 0.229
      MR-Egger 96 1.047 0.982 1.116 0.165 101.382 0.283
      Weighted median 96 1.002 0.964 1.042 0.914
      Weighted mode 96 0.996 0.946 1.049 0.883
      MR-PRESSO 96 0.992 0.967 1.017 0.526
      ADHD, attention deficit/hyperactivity disorder; AD, anxiety disorder; BD, bipolar disorder; DD, depressive disorder; IVW, inverse variance weighted; LL, lower limits of odds ratio; OR, odds ratio; POAG, primary open-angle glaucoma; SCZ, schizophrenia; SNP, single-nucleotide polymorphism; UL, upper limits of odds ratio.

      Figure 2. 

      The causal effects of POAG on schizophrenia (SCZ), ADHD, anxiety disorder (AD), bipolar disorder (BD), and depressive disorder (DD). Error bars represent the 95% confidence intervals[39] for the estimated effects. IVW, inverse variance weighting.

      Table 3.  Assessment of the pleiotropy of the Mendelian randomization analysis for the causality of POAG on the psychiatric disorders of interest.

      Exposure Outcome MR-Egger intercept MR-PRESSO global test
      Intercept SE p RSSobs p
      POAG SCZ −1.406E-03 3.620E-03 0.699 103.453 0.357
      ADHD 2.562E-04 4.768E-03 0.957 116.353 0.095
      AD −6.995E-03 4.435E-03 0.118 105.523 0.349
      BD −1.589E-03 7.535E-03 0.833 130.448 0.079
      DD −6.239E-03 3.469E-03 0.075 106.935 0.252
      ADHD, attention deficit/hyperactivity disorder; AD, anxiety disorder; BD, bipolar disorder; DD, depressive disorder; POAG, primary open-angle glaucoma; SCZ, schizophrenia; SE, standard error.

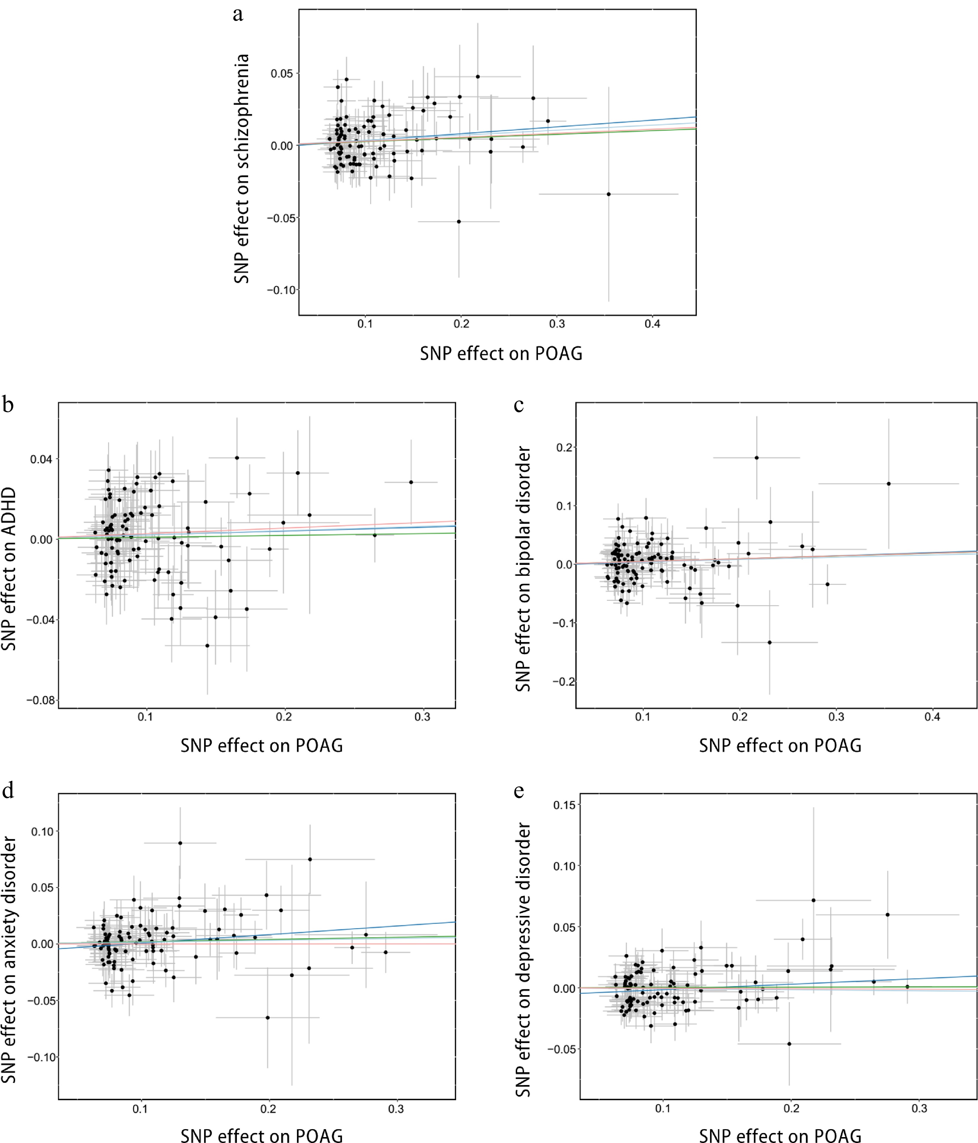
      Our results showed that genetically predicted POAG was significantly and positively associated with schizophrenia when considering the best causal estimation (IVW OR = 1.035, 95% CI: 1.009−1.062, p = 0.008; all results from four different methods were directionally consistent) (Table 2, Fig. 2). A p-value of 0.008 < 0.01 (adjusted p-value with Bonferroni correction for multiple testing) was considered significant. A forest plot visually displayed the positive association between genetic liability to POAG and schizophrenia risk (Supplementary Fig. S1a). Cochran's Q test revealed no heterogeneity across the recruited IVs (Q = 101.545, p = 0.330) (Table 2). The MR-PRESSO global test and MR-Egger regression test detected no presence of any horizontal pleiotropy or directional pleiotropy (MR-Egger intercept = −1.406 × 10−3, SE = 3.620 × 10−3, p = 0.699; MR-PRESSO global test, p = 0.357) (Table 3). The leave-one-out test detected no outliers, and the result was stable and would not be significantly altered by any individual SNP (Supplementary Fig. S2a). This is also presented in the funnel plot (Supplementary Fig. S3a). The scatter plot of genetic association with POAG versus genetic association with schizophrenia showed a significantly positive causality between the two diseases (Fig. 3a).

      Figure 3. 

      Scatter plots of the causal effects of POAG on the psychiatric disorders of interest. (a) Effects of POAG on schizophrenia (SCZ); (b) effects of POAG on ADHD; (c) effects of POAG on anxiety disorder (AD); (d) effects of POAG on bipolar disorder (BD); (e) effects of POAG on depressive disorder (DD). The slope of each line indicates the causal effects estimated by each method. Light blue, inverse variance weighted (IVW) method; dark blue, MR-Egger method; green, weighted median method; pink, weighted mode method. SNP, single nucleotide polymorphism.

      As for the other psychiatric disorders, the estimated causality consistently suggested that genetic predisposition to POAG was not related to any of them. Our results showed no evidence of the causal associations of POAG with ADHD (IVW OR = 1.022, 95% CI: 0.988−1.056, p = 0.214) (Table 2, Fig. 2). All four models suggested consistent results of no causality, even though no heterogeneity and pleiotropy were detected (Q = 113.915, p = 0.090; MR-Egger intercept = 2.562 × 10−4, SE = 4.768 × 10−3, p = 0.957; MR-PRESSO global test, p = 0.095) (Table 2, Table 3). This estimated effect was stable with no outliers, as detected by the leave-one-out test (Supplementary Fig. S2b) and shown in the funnel plot (Supplementary Fig. S3b). The scatter plot and forest plot also show a lack of association between POAG and ADHD (Fig. 3b, Supplementary Fig. S1b). Similarly, other causal association estimations suggested that genetic predisposition to POAG was not related to anxiety disorder (IVW OR = 1.016, 95% CI: 0.984−1.049, p = 0.325), bipolar disorder (IVW OR = 1.040, 95% CI: 0.987−1.097, p = 0.143), or depressive disorder (IVW OR = 0.992, 95% CI: 0.967−1.017, p = 0.526) (Table 2, Fig. 2), and were not disturbed by any heterogeneity or pleiotropy (Tables 2, 3). In addition, no outliers were found by the leave-one-out test (Supplementary Fig. S2ce), and the corresponding results were demonstrated individually by funnel plots (Supplementary Fig. S3ce). The scatter plots and forest plots presented no evidence of the causal effect of POAG on anxiety disorder, bipolar disorder, and depressive disorder (Fig. 3c–e and Supplementary Fig. S1ce).

    • After conducting the forward analyses, we found that only schizophrenia was genetically caused by POAG, while the other disorders were not. Nevertheless, whether this was a unidirectional causality remained inconclusive. Therefore, we performed the reverse analyses by extending the forward ones to the corresponding bi-directional causal inferences. Through using individual psychiatric disorders as the exposure and POAG as the outcome, we further explored whether there was any reverse causality from a genetic liability to psychiatric disorders to POAG. A summary of the reverse causality results is shown in Table 4 and Supplementary Fig. S4. Other results, such as the assessment of heterogeneity, as well as the MR-Egger regression test and the MR-PRESSO outlier test, are demonstrated in Table 4 and Supplementary Table S2 .

      Table 4.  Mendelian randomization analysis for the causal effect of the psychiatric disorders of interest on POAG.

      Exposure Outcome Method SNPs Mendelian randomization Heterogeneity
      OR LL UL p Q Q_p
      SCZ POAG IVW 62 1.034 0.983 1.088 0.192 67.835 0.256
      MR-Egger 62 1.022 0.847 1.232 0.823 67.815 0.228
      Weighted median 62 1.042 0.971 1.118 0.250
      Weighted mode 62 1.068 0.923 1.235 0.381
      MR PERSSO 62 1.034 0.983 1.088 0.192
      ADHD POAG IVW 41 0.941 0.880 1.006 0.074 47.089 0.205
      MR Egger 41 0.824 0.615 1.104 0.202 46.107 0.202
      Weighted median 41 0.951 0.869 1.042 0.282
      Weighted mode 41 0.976 0.811 1.176 0.803
      MR-PRESSO 41 0.941 0.880 1.006 0.074 47.089 0.205
      AD POAG IVW 14 1.085 0.970 1.213 0.153 7.889 0.851
      MR-Egger 14 1.039 0.798 1.354 0.779 7.767 0.803
      Weighted median 14 1.109 0.960 1.281 0.159
      Weighted mode 14 1.113 0.902 1.372 0.337
      MR-PRESSO 14 1.085 0.970 1.213 0.153
      BD POAG IVW 28 1.039 0.997 1.083 0.068 13.929 0.982
      MR-Egger 28 1.037 0.945 1.139 0.450 13.927 0.974
      Weighted median 28 1.041 0.979 1.107 0.198
      Weighted mode 28 1.034 0.951 1.123 0.441
      MR-PRESSO 28 1.039 0.997 1.083 0.068
      DD POAG IVW 25 1.084 0.977 1.202 0.129 25.029 0.404
      MR-Egger 25 0.995 0.795 1.245 0.967 24.280 0.388
      Weighted median 25 1.132 0.970 1.321 0.115
      Weighted mode 25 1.208 0.911 1.602 0.202
      MR-PRESSO 25 1.084 0.977 1.202 0.129
      ADHD, attention deficit/hyperactivity disorder; AD, anxiety disorder; BD, bipolar disorder; DD, depressive disorder; IVW, inverse variance weighted; LL, lower limits of odds ratio; OR, odds ratio; POAG, primary open-angle glaucoma; SCZ, schizophrenia; SNP, single-nucleotide polymorphism; UL, upper limits of odds ratio.

      Our results reported that genetic susceptibility to schizophrenia failed to be associated with POAG (IVW OR = 1.034, 95% CI: 0.983−1.088, p = 0.192) (Table 4). All four models consistently demonstrated the same. The forest plot did not display any causal associations (Supplementary Fig. S4a). After performing Cochran's Q test, no heterogeneity was detected (Q = 67.835, p = 0.256) (Table 4). No horizontal and directional pleiotropy was indicated by the MR-PRESSO global test (MR-PRESSO global test p = 0.278) and the MR-Egger regression test (MR-Egger intercept = 1.042 × 10−3, SE = 7.863 × 10−3, p = 0.895), respectively (Supplementary Table S2). The leave-one-out test and funnel plot showed no outliers; therefore, the estimated causal effect of schizophrenia on POAG was stable and would not be significantly influenced by any SNP (Supplementary Figs S5a and S6a). The invalid causal effect was also demonstrated in the scatter plot (Supplementary Fig. S7a).

      As for the other psychiatric disorders, including ADHD (IVW OR = 0.941, 95% CI: 0.880−1.006, p = 0.074), anxiety disorder (IVW OR = 1.085, 95% CI: 0.970−1.213, p = 0.153), bipolar disorder (IVW OR = 1.039, 95% CI: 0.997−1.083, p = 0.068), and depressive disorder (IVW OR = 1.084, 95% CI: 0.977−1.202, p = 0.129), our results indicated that there was a lack of a causal effect of these psychiatric disorders on POAG (Table 4 and Supplementary Fig. S4be). No evidence of heterogeneity and pleiotropy was found among them (Table 4 and Supplementary Table S2). Other results, such as those of the leave-one-out tests, funnel plots, and scatter plots, are presented in Supplementary Figs S5be, S6be, and S7be.

    • Since a genetic predisposition to POAG was positively associated with the incidence of schizophrenia, a validation dataset was introduced to further validate the putative causal relationship. Repeatedly, as the discovery dataset, we performed both a bi-directional two-sample Mendelian randomization analysis to investigate the existence and direction of the putative causality. The summarized results of the validation dataset are shown in Supplementary Tables S3 and S4.

      A significantly and positively causal effect of the genetic predisposition to POAG on the risk of schizophrenia was reported and validated when considering the best causal estimation in the validation dataset (IVW OR = 1.062, 95% CI: 1.016−1.109, p = 0.007; all results from four different methods were directionally consistent) (Supplementary Table S3). A p-value of 0.007 < 0.01 (adjusted p-value after Bonferroni correction) was considered to be significant. The forest plot and scatter plot presented the positive association between POAG and the risk of schizophrenia visually (Supplementary Fig. S8a, b). No evidence of heterogeneity and pleiotropy was revealed by the Cochran's Q test (Q = 2.009, p = 0.919) (Supplementary Table S3), or the MR-PRESSO global test (MR-PRESSO global test p = 0.916) and MR-Egger regression test (MR-Egger intercept = 1.125 × 10−3, SE = 2.382 × 10−2, p = 0.964) (Supplementary Table S5). The leave-one-out plot and funnel plots are presented in Supplementary Fig. S8c, d.

      In contrast, no causal effect of schizophrenia on POAG was found in the reverse analysis of the validation dataset (IVW OR = 0.970, 95% CI: 0.887−1.061, p = 0.510) (Supplementary Table S4). Detailed information is shown in the corresponding tables and figures (Supplementary Table S6 and Supplementary Fig. S9ad). This result served as a good validation of our discovery dataset.

    • Psychiatric diseases and glaucoma are increasingly prevalent, accounting for continual rises in healthcare costs, which are becoming a substantial share of disability cases in the general population worldwide[15,53,54]. Currently, increasing studies remind us of the comorbidity between psychiatric diseases and glaucoma[1013]. A significantly higher prevalence of psychiatric disorders was observed in patients with glaucoma, and vice versa[1420,23,55]. These epidemiological findings suggested that psychiatric disorders and glaucoma may be closely correlated. However, given the limitations of the observational studies, simply and superficially relying on the observational studies will never be satisfactory. Current understandings have been restricted to observing their comorbidity rather than extending to a causality study.

      To the best of our knowledge, our study comprehensively explored the causal associations between psychiatric disorders and glaucoma. We suggest that genetically predicted POAG is mildly associated with the risk of schizophrenia, whereas schizophrenia was not causally associated with POAG. No evidence of a causal association between POAG and other psychiatric disorders, including ADHD, anxiety disorder, bipolar disorder, and depressive disorder, was found.

      Our findings add updated knowledge to the observational findings for POAG and schizophrenia. This is consistent with the recent studies demonstrating that a diagnosis of glaucoma preceded a diagnosis of schizophrenia[16,56]. Several studies also found that patients with glaucoma have a higher prevalence of schizophrenia[1416]. The retinal vascular trajectory, which was related to retinal nerve fiber layer thinning and retinal vasculature, was closely related to schizophrenia and might explain the causal association[57]. In addition, microvascular dysfunction in the retinal arterioles was also observed in both glaucoma and schizophrenia, indicating their connections[5860]. More importantly, CAV1 and CAV2, which are significantly associated with POAG, were also indicated to be involved in the development of schizophrenia[6165]. The involvement of neurodegenerative disease-related factors should also be given careful consideration. Higher polygenic risk for schizophrenia was reported to be associated with a thinner ganglion cell inner plexiform layer (GC-IPL) thickness[66]. Patients with schizophrenia were also found to show measurable differences in retinal neural integrity, such as reduced macular GC-IPL and retinal nerve fiber layer (RNFL) thicknesses, which are hallmarks of glaucoma's development and progression[67]. One of the neurotrophic factors, called brain-derived neurotrophic factor (BDNF), was found to be associated with schizophrenia[68]. BDNF supports the survival and functional maintenance of retinal ganglion cells, whose degeneration is a hallmark of glaucoma[69]. However, the causal association is mild in our study, and larger-scale datasets are required to further validate the findings. The latest literature has also reported that sleep-related factors, such as getting up easily in the morning and sleep duration, are associated with a higher risk of POAG[70]. We believe that future analyses using more comprehensive datasets will provide valuable evidence of the potential mediators in the complex mechanisms between POAG and psychiatric disorders.

      Intriguingly, our findings are in contrast to other studies that reported the associations between other psychiatric disorders and glaucoma[1720]. Nevertheless, those observed associations might be due to unmeasured confounding factors and biases of the observational research, and the current evidence is not adequate to support the existence of a causal association. Furthermore, psychiatric disorders are among the comorbid conditions that are often present among patients with chronic diseases[71,72]. Since patients with glaucoma often suffer from a chronic disease process and are continuously afraid of blindness, they are prone to developing psychiatric disorders, such as anxiety and depression[12,73,74]. In addition, there are several clinical studies implying that the anticholinergic effects of antipsychotics used among patients with psychiatric diseases could increase the intraocular pressure and contribute to the development of glaucoma[75,76]. All of these serve as confounders that reduce the explanatory power of the observational results.

      One of the strengths of our study lies in the bi-directional two-sample Mendelian randomization design. Mendelian randomization is thought to offer a 'natural' randomized trial for large-scale populations, and is considered to be Mother Nature's randomized controlled trial, ranking at the top in the hierarchy of the scientific evidence pyramid[37]. This approach makes our study less susceptible to confounders, reverse causality, and error measurement. Additionally, we are able to estimate the bi-directional causal associations with a validation dataset to prevent the possibility of false positive results. We also performed a series of sensitivity analyses to ensure the consistency of our causal estimation and the absence of any heterogeneity or pleiotropy, making our findings more credible. Investigating the genetic causal association could help to further understand how genetic variants contribute to the disease's development and progression. Besides the delivery of high-quality interventions, our identification and quantification of causality are also vital for the implementation of effective prevention strategies. Our study also has limitations. A less stringent threshold (p < 5 × 10−6) was adopted as the trade-off between IV quality and quantity. Although we made efforts to ensure the robustness of the results by implementing rigorous sensitivity approaches, such as the MR-Egger, weighted median, and MR-PRESSO methods, larger-scale datasets are required for further validation in the future. The population only involved individuals of European ancestry, and exploration of ethnic discrepancies could be conducted if data are available. Additionally, while the FinnGen dataset is geographically distinct, residual population stratification still cannot be entirely ruled out to avoid sample overlap issues. Subgroup analyses, including stratifications based on age and sex, could not be performed due to the limitations of the currently available GWAS summary statistics. The current controversy on epidemiological evidence is mainly focused on POAG, and further exploration of other subtypes of glaucoma could be performed.

    • In conclusion, our study suggests a potential causal association of a genetic liability to POAG with schizophrenia, while no evidence of causality for a genetic predisposition to schizophrenia on POAG was identified. The causal associations of a genetic liability to POAG and other psychiatric disorders, including ADHD, anxiety disorder, bipolar disorder, and depressive disorder, were unfounded, indicating that the previously observed correlations might be affected by potential confounding factors. Optimized strategies for their observed comorbidity should be further developed in clinical practice.

    • No ethical approval was required, as this study has been conducted using publicly available and open-access summary statistics, and no human subjects or animals were enrolled.

      • This study was supported by National Natural Science Foundation of China (U24A20707, 82171075, 82271125, 82301260, and 82301205), Guangdong Basic and Applied Basic Research Foundation (2023B1515120028), China Postdoctoral Science Foundation (2024T170185), Brolucizumab Efficacy and Safety Single-Arm Descriptive Trial in Patients with Persistent Diabetic Macular Edema (2024-29), the launch fund of Guangdong Provincial People's Hospital for NSFC (8227041127). The funders had no role in the study design, data collection, data analysis, data interpretation, or report writing. The authors sincerely thank the funders for their support.

      • The authors confirm their contributions to the paper as follows: study conception and design: Zheng C, Zeng R, Wu G, Hu Y, Yu H; data collection: Zheng C; analysis and interpretation of results: Zheng C, Zeng R; draft manuscript preparation: Zheng C, Zeng R, Wu G; critical revision of the manuscript for important intellectual content: Hu Y, Yu H; manuscript revision: Zheng C, Zeng R, Wu G; funding acquisition: Yu H; administrative, technical, or material support: Hu Y, Yu H. All authors reviewed the results and approved the final version of the manuscript.

      • GWAS summary statistics are available from the original manuscript of each study in Supplementary Table S1 and the GWAS catalog (www.ebi.ac.uk/gwas). All of the codes used in the study are available upon reasonable request from the corresponding author.

      • The authors declare that they have no conflict of interest.

      • Supplementary Table S1 Characteristics of data sources used in this study.
      • Supplementary Table S2 Assessment of pleiotropy of the Mendelian randomization analysis for the causal effect of psychiatric disorders of interest on primary open-angle glaucoma (POAG).
      • Supplementary Table S3 Mendelian randomization analysis for validation of the causal effect of primary open-angle glaucoma (POAG) on schizophrenia.
      • Supplementary Table S4 Assessment of pleiotropy of the Mendelian randomization analysis for the causal effect of primary open-angle glaucoma (POAG) on schizophrenia.
      • Supplementary Table S5 Mendelian randomization analysis for validation of the causal effect of schizophrenia on primary open-angle glaucoma (POAG).
      • Supplementary Table S6 Assessment of pleiotropy of the Mendelian randomization analysis for the causal effect of schizophrenia on primary open-angle glaucoma (POAG).
      • Supplementary Fig. S1 Forest plots for the causal effects of primary open-angle glaucoma (POAG) on psychiatric disorders of interest.
      • Supplementary Fig. S2 Leave-one-out sensitivity analysis for primary open-angle glaucoma (POAG) on psychiatric disorders of interest.
      • Supplementary Fig. S3 Funnel plots for detecting any asymmetry of primary open-angle glaucoma (POAG) on psychiatric disorders of interest.
      • Supplementary Fig. S4 Scatter plots for the causal effects of psychiatric disorders of interest on primary open-angle glaucoma (POAG).
      • Supplementary Fig. S5 Forest plots for the causal effects of psychiatric disorders of interest on primary open-angle glaucoma (POAG).
      • Supplementary Fig. S6 Leave-one-out sensitivity analysis for psychiatric disorders of interest on primary open-angle glaucoma (POAG).
      • Supplementary Fig. S7 Funnel plots for detecting any asymmetry of psychiatric disorders of interest on primary open-angle glaucoma (POAG).
      • Supplementary Fig. S8 Validation of the causal effect of primary open-angle glaucoma (POAG) on schizophrenia.
      • Supplementary Fig. S9 Validation of the causal effect of schizophrenia on primary open-angle glaucoma (POAG).
      • Copyright: © 2025 by the author(s). Published by Maximum Academic Press, Fayetteville, GA. This article is an open access article distributed under Creative Commons Attribution License (CC BY 4.0), visit https://creativecommons.org/licenses/by/4.0/.
    Figure (3)  Table (4) References (76)
  • About this article
    Cite this article
    Zheng C, Zeng R, Wu G, Hu Y, Yu H. 2025. Investigating causal associations between the genetic liability to primary open-angle glaucoma and psychiatric disorders. Visual Neuroscience 42: e017 doi: 10.48130/vns-0025-0016
    Zheng C, Zeng R, Wu G, Hu Y, Yu H. 2025. Investigating causal associations between the genetic liability to primary open-angle glaucoma and psychiatric disorders. Visual Neuroscience 42: e017 doi: 10.48130/vns-0025-0016

Catalog

    /

    DownLoad:  Full-Size Img  PowerPoint
    Return
    Return